
The Men's Single Rider Fantasy League challenges you to choose the rider you think is most likely to win a race but is least likely to be picked by other players from r/Peloton.You score points based on how high your pick finishes and the number of users who choose the same rider.
Need an r/Peloton Fantasy ID? Send a message to u/Ser-Seaworth or u/GregLeBlonde on Reddit.
Your ID works for SRFL, WSRFL, and TFTPT. You only need to signup once.
The following results will not be updated!
Best Pick, Saganth, Lucky in love, Love Struck, My one and only, Heart of gold
FirstCycling has been suffering from DDOS attacks and changed how automated queries are handled.
This broke things on our end. Unfortunately not every game can be updated.
Giro d'Italia
May 9–June 1, 2025
Tour de France
July 5–27, 2025
La Vuelta a España
August 23–September 4, 2025
Milano–Sanremo
March 22, 2025
Ronde van Vlaanderen
April 6, 2025
Paris–Roubaix
April 13, 2025
Liège–Bastogne–Liège
April 27, 2025
Il Lombardia
October 11, 2025
Tour Down Under
January 21–26, 2025
UAE Tour
February 17–23, 2025
Paris–Nice
March 9–16, 2025
Tirreno-Adriatico
March 10–16, 2025
Volta a Catalunya
March 24–30, 2025
Itzulia Basque Country
April 7–12, 2025
Tour de Romandie
April 29–May 4, 2025
Criterium du Dauphiné
June 8–15, 2025
Tour de Suisse
June 15–22, 2025
Tour de Pologne
August 4–10, 2025
Renewi Tour
August 20–24, 2025
Tour of Guangxi
October 14–19, 2025
Cadel Evans Road Race
February 2, 2025
Omloop Het Nieuwsblad
March 1, 2025
Strade Bianche
March 8, 2025
Brugge-De Panne
March 26, 2025
E3 Harelbeke
March 28, 2025
Gent–Wevelgem
March 30, 2025
Dwars door Vlaanderen
April 2, 2025
Amstel Gold Race
April 20, 2025
La Flèche Wallonne
April 23, 2025
Eschborn-Frankfurt
May 1, 2025
Copenhagen Sprint
June 22, 2025
Donostia San Sebastian
August 2, 2025
ADAC Cyclassics
August 17, 2025
Bretagne Classic
August 31, 2025
GP Quebec
September 12, 2025
GP Montreal
September 14, 2025
Worlds Time Trial
September 21, 2025
Worlds Road Race
September 28, 2025
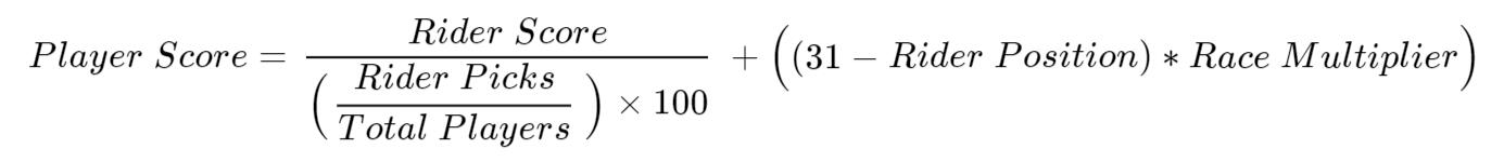
The top 30 finishers of a race earn points scaled by position and the importance of the race.
Scores are calculated by dividing the number of points a rider earned by the percentage of the users who picked them. A bonus is awarded for rare picks.
Entries are open until the posted deadline which is based on each event's scheduled start time. Entries sent after that time may appear to be submitted, but will not count.
To update your entry, simply submit a new one!
Details of how scores are calculated are available here.
That didn't work. It's probably Avila's fault.
Your entry for {{url.rider}} has been submitted. Good luck!
Full standings for bonus classifications are coming soon!
DETAILS
SRFL has a simple concept: pick one rider to win a race. The better your rider does, the more points you score. However, there is a twist: points are shared between all the players who choose a rider. So, the more players who pick the same rider, the fewer points you keep!Points are awarded for selected WorldTour and World Championship races. The top 30 finishers in each event earn points according to their position and the race's importance. Players who make rare picks also earn bonus points!Scores for each race are calculated by dividing a rider's base points by the percentage of players who have picked them, but cannot exceed the rider's base score. In games with fewer than 100 players, a rider's base points are instead divided by the number of players who picked them.Riders who are picked by one percent of players or less are 'solo winners'. These players get the full base points and win a bonus. Bonuses are the product of a race's multiplier and the rider's finish position; they cannot exceed the base points. In games with fewer than 100 players, bonuses are instead awarded for unique picks.Race scores are rounded to the nearest tenth of a point. The player with the highest total at the end of the season wins the league. Final standings are based on the results published by firstcycling.com

| Position | Tour de France | Giro and Vuelta | Monument¹ | Major Stage Race² | Minor Stage Race³ | Major One Day Race⁴ | Minor One Day Race⁵ |
|---|---|---|---|---|---|---|---|
| 1 | 600 | 500 | 350 | 280 | 200 | 180 | 120 |
| 2 | 480 | 400 | 280 | 224 | 160 | 144 | 90 |
| 3 | 360 | 300 | 210 | 168 | 120 | 108 | 75 |
| 4 | 300 | 250 | 175 | 140 | 100 | 90 | 68 |
| 5 | 270 | 225 | 158 | 126 | 90 | 81 | 60 |
| 6 | 240 | 200 | 140 | 112 | 80 | 72 | 54 |
| 7 | 216 | 180 | 126 | 101 | 72 | 65 | 48 |
| 8 | 192 | 160 | 112 | 90 | 64 | 58 | 44 |
| 9 | 174 | 145 | 101 | 81 | 58 | 52 | 39 |
| 10 | 156 | 130 | 91 | 73 | 52 | 47 | 36 |
| 11 | 144 | 120 | 84 | 67 | 48 | 43 | 33 |
| 12 | 132 | 110 | 78 | 62 | 44 | 40 | 30 |
| 13 | 120 | 100 | 70 | 56 | 40 | 36 | 27 |
| 14 | 108 | 90 | 62 | 50 | 36 | 32 | 25 |
| 15 | 96 | 80 | 56 | 45 | 32 | 29 | 23 |
| 16 | 90 | 75 | 52 | 42 | 30 | 27 | 21 |
| 17 | 84 | 70 | 48 | 39 | 28 | 25 | 19 |
| 18 | 78 | 65 | 45 | 36 | 26 | 23 | 17 |
| 19 | 72 | 60 | 42 | 34 | 24 | 22 | 15 |
| 20 | 66 | 55 | 39 | 31 | 22 | 20 | 13 |
| 21 | 60 | 50 | 35 | 28 | 20 | 18 | 11 |
| 22 | 54 | 45 | 32 | 25 | 18 | 16 | 9 |
| 23 | 48 | 40 | 28 | 22 | 16 | 14 | 8 |
| 24 | 42 | 35 | 25 | 20 | 14 | 13 | 7 |
| 25 | 36 | 30 | 21 | 17 | 12 | 11 | 6 |
| 26 | 30 | 25 | 18 | 14 | 10 | 9 | 5 |
| 27 | 24 | 20 | 14 | 11 | 8 | 7 | 4 |
| 28 | 18 | 15 | 10 | 8 | 6 | 5 | 3 |
| 29 | 12 | 10 | 8 | 6 | 4 | 3 | 2 |
| 30 | 6 | 5 | 4 | 3 | 2 | 2 | 1 |
| Position | Tour de France | Giro and Vuelta | Monument¹ | Major Stage Race² | Minor Stage Race³ | Major One Day Race⁴ | Minor One Day Race⁵ |
|---|---|---|---|---|---|---|---|
| Multiplier | 6x | 5x | 4x | 3x | 2x | 1.5x | 1x |
| 1 | 180 | 150 | 120 | 90 | 60 | 45 | 30 |
| 2 | 174 | 145 | 116 | 87 | 58 | 44 | 29 |
| 3 | 168 | 140 | 112 | 84 | 56 | 42 | 28 |
| 4 | 162 | 135 | 108 | 81 | 54 | 41 | 27 |
| 5 | 156 | 130 | 104 | 78 | 52 | 39 | 26 |
| 6 | 150 | 125 | 100 | 75 | 50 | 38 | 25 |
| 7 | 144 | 120 | 96 | 72 | 48 | 36 | 24 |
| 8 | 138 | 115 | 92 | 69 | 46 | 35 | 23 |
| 9 | 132 | 110 | 88 | 66 | 44 | 33 | 22 |
| 10 | 126 | 105 | 84 | 63 | 42 | 32 | 21 |
| 11 | 120 | 100 | 80 | 60 | 40 | 30 | 20 |
| 12 | 114 | 95 | 76 | 57 | 38 | 29 | 19 |
| 13 | 108 | 90 | 70 | 54 | 36 | 27 | 18 |
| 14 | 102 | 85 | 62 | 50 | 34 | 26 | 17 |
| 15 | 96 | 80 | 56 | 45 | 32 | 24 | 16 |
| 16 | 90 | 75 | 52 | 42 | 30 | 23 | 15 |
| 17 | 84 | 70 | 48 | 39 | 28 | 21 | 14 |
| 18 | 78 | 65 | 45 | 36 | 26 | 20 | 13 |
| 19 | 72 | 60 | 42 | 34 | 24 | 18 | 12 |
| 20 | 66 | 55 | 39 | 31 | 22 | 17 | 11 |
| 21 | 60 | 50 | 35 | 28 | 20 | 15 | 10 |
| 22 | 54 | 45 | 32 | 25 | 18 | 14 | 9 |
| 23 | 48 | 40 | 28 | 22 | 16 | 12 | 8 |
| 24 | 42 | 35 | 25 | 20 | 14 | 11 | 7 |
| 25 | 36 | 30 | 21 | 17 | 12 | 9 | 6 |
| 26 | 30 | 25 | 18 | 14 | 10 | 8 | 5 |
| 27 | 24 | 20 | 14 | 11 | 8 | 6 | 4 |
| 28 | 18 | 15 | 10 | 8 | 6 | 5 | 3 |
| 29 | 12 | 10 | 8 | 6 | 4 | 3 | 2 |
| 30 | 6 | 5 | 4 | 3 | 2 | 2 | 1 |
¹ Includes the Worlds and Olympic Road Races² Paris–Nice, Tirreno-Adriatico, Tour de Romandie, Criterium du Dauphiné, Tour de Suisse³ Tour Down Under, UAE Tour, Volta a Catalunya, Itzulia Basque Country, Tour de Pologne, Renewi Tour, Tour of Guangxi⁴ Omloop Het Nieuwsblad, Strade Bianche, E3 Harelbeke, Gent–Wevelgem, Amstel Gold Race, La Flèche Wallonne, Olympic Time Trial, Donostia San Sebastian, Worlds Time Trial⁵ Cadel Evans Road Race, Brugge-De Panne, Dwars door Vlaanderen, Eschborn-Frankfurt, Bretagne Classic, BEMER Cyclassics, GP Quebec, GP Montreal

Awarded to the player who scores
the most points
during the season
Last updated on November 16, 2025 for Tour of Guangxi
| Rank | ↓↑ | User | Base Points | Bonus Points | Total Score | Latest Score |
|---|---|---|---|---|---|---|
| 1 | ― | ser-seaworth | 1155.5 | 451 | 1606.5 | 12.0 |
| 2 | ― | MrR2D | 1119.7 | 447 | 1566.7 | 20.0 |
| 3 | ― | Divergee5 | 1045.3 | 415 | 1460.3 | 56.0 |
| 4 | ― | Nussig | 1225.3 | 100 | 1325.3 | 0.0 |
| 5 | ― | Norskov | 1028.8 | 271 | 1299.8 | 0.0 |
| 6 | ― | iamczecksy | 1054.3 | 112 | 1166.3 | 0.0 |
| 7 | ― | Verlichtingszucht | 914.5 | 237 | 1151.5 | 0.0 |
| 8 | ― | paulindy2000 | 815.5 | 332 | 1147.5 | 76.0 |
| 9 | ― | OkChipmunk3854 | 895.1 | 241 | 1136.1 | 0.0 |
| 10 | ― | andytheciderman | 867.4 | 262 | 1129.4 | 94.0 |
| 11 | ― | yellow52 | 846.9 | 238 | 1084.9 | 0.0 |
| 12 | ― | Kryziven | 995.5 | 42 | 1037.5 | 0.0 |
| 13 | ― | edlll91 | 874.7 | 157 | 1031.7 | 0.0 |
| 14 | ― | Team_Telekom | 826.5 | 202 | 1028.5 | 20.0 |
| 15 | ― | AwakenTheBacon_ | 722.7 | 235 | 957.7 | 0.0 |
| 16 | ― | Avila99 | 671.7 | 244 | 915.7 | 6.5 |
| 17 | ― | beaker15 | 731.3 | 159 | 890.3 | 0.0 |
| 18 | ― | BSantos57 | 872.1 | 0 | 872.1 | 6.5 |
| 19 | ― | TheSlyBean | 656.4 | 212 | 868.4 | 0.0 |
| 20 | ― | alpal2214 | 752.1 | 97 | 849.1 | 0.0 |
| 21 | ― | LynniePinnie67 | 746.2 | 90 | 836.2 | 0.0 |
| 22 | ― | RaylanGivens8 | 684.4 | 138 | 822.4 | 20.0 |
| 23 | ― | isaiahHat | 722.4 | 85 | 807.4 | 6.5 |
| 24 | ― | djordastic | 795.7 | 0 | 795.7 | 0.0 |
| 25 | ― | LurkasM1 | 604.7 | 186 | 790.7 | 0.0 |
| 26 | ― | Redskin44 | 548.0 | 237 | 785.0 | 0.0 |
| 27 | ― | Lyx97 | 616.7 | 128 | 744.7 | 0.0 |
| 28 | ― | CudoLanda | 660.4 | 84 | 744.4 | 0.0 |
| 29 | ― | BWallis17 | 599.5 | 138 | 737.5 | 6.5 |
| 30 | ― | JDdieSonne | 589.8 | 125 | 714.8 | 0.0 |
| 31 | ― | Sappert | 563.6 | 148 | 711.6 | 0.0 |
| 32 | ― | CadenceChallenged | 650.7 | 0 | 650.7 | 0.0 |
| 33 | ― | fetamorphasis | 594.8 | 0 | 594.8 | 0.0 |
| 34 | ― | ssfoxx27 | 551.1 | 30 | 581.1 | 20.0 |
| 35 | ― | Judas_Bishop | 450.3 | 123 | 573.3 | 0.0 |
| 36 | ― | wonderbeann | 409.8 | 142 | 551.8 | 0.0 |
| 37 | ― | Zeckesan | 512.2 | 38 | 550.2 | 0.0 |
| 38 | ― | DerpTrain | 404.9 | 134 | 538.9 | 0.0 |
| 39 | ― | fewfiet | 538.2 | 0 | 538.2 | 0.0 |
| 40 | ― | Salty-Level | 366.0 | 144 | 510.0 | 0.0 |
| 41 | ― | listenyall | 434.1 | 59 | 493.1 | 0.0 |
| 42 | ― | burden321 | 428.0 | 55 | 483.0 | 0.0 |
| 43 | ― | Funny-Substance5576 | 447.9 | 30 | 477.9 | 0.0 |
| 44 | ― | Eyeconoclastic | 383.3 | 80 | 463.3 | 0.0 |
| 45 | ― | Wateroski | 308.0 | 144 | 452.0 | 0.0 |
| 46 | ― | Mattxps | 373.1 | 72 | 445.1 | 0.0 |
| 47 | ― | LJSchoppert | 412.6 | 32 | 444.6 | 0.0 |
| 48 | ― | IPJBrennan | 337.3 | 104 | 441.3 | 0.0 |
| 49 | ― | marleycats | 336.2 | 104 | 440.2 | 0.0 |
| 50 | ― | derwipok | 340.5 | 59 | 399.5 | 0.0 |
| 51 | ― | GregLeBlonde | 331.7 | 60 | 391.7 | 0.0 |
| 52 | ― | sudomakemetacos | 325.4 | 6 | 331.4 | 0.0 |
| 53 | ― | MaxAeroMustache | 321.6 | 0 | 321.6 | 0.0 |
| 54 | ― | Jumpy-Cricket4744 | 199.4 | 84 | 283.4 | 0.0 |
| 55 | ― | Realistic_Heaven | 192.5 | 87 | 279.5 | 142.0 |
| 56 | ― | Xcpa9 | 249.7 | 0 | 249.7 | 0.0 |
| 57 | ― | Living_Estate4681 | 168.2 | 81 | 249.2 | 0.0 |
| 58 | ― | nahgoe16 | 191.8 | 57 | 248.8 | 0.0 |
| 59 | ― | WiscMIIe | 241.5 | 0 | 241.5 | 0.0 |
| 60 | ― | BigMikeS | 211.6 | 0 | 211.6 | 0.0 |
| 61 | ― | sharkbait_hahaha | 147.2 | 50 | 197.2 | 0.0 |
| 62 | ― | Fourstars | 190.4 | 0 | 190.4 | 0.0 |
| 63 | ― | ULhothot | 119.7 | 60 | 179.7 | 0.0 |
| 64 | ― | mcrorigan | 171.5 | 0 | 171.5 | 0.0 |
| 65 | ― | detestrian | 149.3 | 0 | 149.3 | 0.0 |
| 66 | ― | SparkleCrotchLover | 149.1 | 0 | 149.1 | 0.0 |
| 67 | ― | sunnyB8 | 130.0 | 0 | 130.0 | 0.0 |
| 68 | ― | vbarrielle | 122.0 | 0 | 122.0 | 0.0 |
| 69 | ― | wildcat25burner | 100.0 | 0 | 100.0 | 0.0 |
| 70 | ― | paaulo | 65.0 | 25 | 90.0 | 0.0 |
| 71 | ― | ZBGT | 81.6 | 0 | 81.6 | 0.0 |
| 72 | ― | GmckAgar | 80.0 | 0 | 80.0 | 0.0 |
| 73 | ― | f1phoenix | 78.0 | 0 | 78.0 | 0.0 |
| 74 | ― | MadnessBeliever | 66.7 | 0 | 66.7 | 0.0 |
| 75 | ― | Thomas1VL | 62.2 | 0 | 62.2 | 0.0 |
| 76 | ― | markp88 | 28.0 | 28 | 56.0 | 0.0 |
| 77 | ― | pickledip | 40.5 | 0 | 40.5 | 0.0 |
| 78 | ― | tiwnuja | 35.7 | 0 | 35.7 | 0.0 |
| 79 | ― | narlano | 34.7 | 0 | 34.7 | 0.0 |
| 80 | ― | cyclotech | 12.0 | 12 | 24.0 | 0.0 |
| 81 | ― | runhaags1 | 23.5 | 0 | 23.5 | 0.0 |
| 82 | ― | bassmanyoowan | 18.0 | 0 | 18.0 | 0.0 |
| 83 | ― | DorHarris | 18.0 | 0 | 18.0 | 0.0 |
| 84 | ― | thebigscratch | 17.5 | 0 | 17.5 | 0.0 |
| 85 | ― | YourBeneluxOverlords | 16.0 | 0 | 16.0 | 0.0 |
| 86 | ― | Venturace | 14.5 | 0 | 14.5 | 0.0 |
| 87 | ― | kootrtt | 10.0 | 0 | 10.0 | 0.0 |
| 88 | ― | ShortBus | 9.0 | 0 | 9.0 | 0.0 |
| 89 | ― | Lxnnox | 5.6 | 0 | 5.6 | 0.0 |

Awarded to the player who scores
the most points in one day races
during the season
Last updated on November 16, 2025 for World Road Race
| Rank | ↓↑ | User | Total Score | Latest Score |
|---|---|---|---|---|
| 1 | ― | MrR2D | 994.1 | 140 |
| 2 | ― | Team_Telekom | 783.7 | 396 |
| 3 | ― | Nussig | 778.1 | 70 |
| 4 | ― | ser-seaworth | 776.5 | 0 |
| 5 | ― | Norskov | 751.1 | 0 |
| 6 | ― | paulindy2000 | 727.1 | 222 |
| 7 | ― | Divergee5 | 720.3 | 204 |
| 8 | ― | edlll91 | 675.1 | 0 |
| 9 | ― | AwakenTheBacon_ | 671.6 | 105 |
| 10 | ― | BSantos57 | 614.7 | 42 |
| 11 | ― | Kryziven | 560.0 | 0 |
| 12 | ― | BWallis17 | 534.1 | 20 |
| 13 | ― | Avila99 | 532.3 | 70 |
| 14 | ― | OkChipmunk3854 | 530.6 | 70 |
| 15 | ― | iamczecksy | 511.4 | 70 |
| 16 | ― | isaiahHat | 483.2 | 0 |
| 17 | ― | beaker15 | 463.8 | 0 |
| 18 | ― | yellow52 | 461.7 | 42 |
| 19 | ― | Sappert | 460.5 | 70 |
| 20 | ― | Wateroski | 452.0 | 0 |
| 21 | ― | Verlichtingszucht | 433.5 | 0 |
| 22 | ― | LynniePinnie67 | 431.2 | 16 |
| 23 | ― | Redskin44 | 424.8 | 0 |
| 24 | ― | CadenceChallenged | 403.3 | 0 |
| 25 | ― | Lyx97 | 389.4 | 0 |
| 26 | ― | djordastic | 376.8 | 70 |
| 27 | ― | alpal2214 | 374.7 | 70 |
| 28 | ― | IPJBrennan | 368.5 | 262 |
| 29 | ― | Zeckesan | 351.0 | 0 |
| 30 | ― | ssfoxx27 | 335.3 | 105 |
| 31 | ― | andytheciderman | 334.1 | 0 |
| 32 | ― | listenyall | 327.9 | 0 |
| 33 | ― | RaylanGivens8 | 326.0 | 0 |
| 34 | ― | MaxAeroMustache | 321.6 | 0 |
| 35 | ― | CudoLanda | 319.6 | 0 |
| 36 | ― | marleycats | 307.7 | 0 |
| 37 | ― | LurkasM1 | 302.9 | 16 |
| 38 | ― | Funny-Substance5576 | 294.0 | 0 |
| 39 | ― | derwipok | 289.8 | 0 |
| 40 | ― | DerpTrain | 288.0 | 0 |
| 41 | ― | JDdieSonne | 287.5 | 0 |
| 42 | ― | wonderbeann | 284.3 | 0 |
| 43 | ― | Judas_Bishop | 259.2 | 0 |
| 44 | ― | fewfiet | 256.0 | 0 |
| 45 | ― | sudomakemetacos | 246.4 | 0 |
| 46 | ― | Eyeconoclastic | 239.4 | 0 |
| 47 | ― | burden321 | 237.0 | 0 |
| 48 | ― | LJSchoppert | 220.5 | 0 |
| 49 | ― | Jumpy-Cricket4744 | 212.3 | 0 |
| 50 | ― | fetamorphasis | 188.8 | 0 |
| 51 | ― | ssfoxx27 | 178.0 | 105 |
| 52 | ― | Mattxps | 160.8 | 0 |
| 53 | ― | WiscMIIe | 158.5 | 0 |
| 54 | ― | nahgoe16 | 155.5 | 0 |
| 55 | ― | GregLeBlonde | 128.5 | 0 |
| 56 | ― | Fourstars | 123.7 | 0 |
| 57 | ― | BigMikeS | 111.0 | 0 |
| 58 | ― | Judas_Bishop | 100.7 | 0 |
| 59 | ― | sunnyB8 | 80.0 | 0 |
| 60 | ― | Xcpa9 | 78.9 | 0 |
| 61 | ― | vbarrielle | 76.0 | 0 |
| 62 | ― | Realistic_Heaven | 73.0 | 0 |
| 63 | ― | sharkbait_hahaha | 72.3 | 0 |
| 64 | ― | TheSlyBean | 64.0 | 0 |
| 65 | ― | markp88 | 56.0 | 0 |
| 66 | ― | Salty-Level | 53.5 | 0 |
| 67 | ― | paaulo | 50.0 | 0 |
| 68 | ― | SparkleCrotchLover | 41.5 | 0 |
| 69 | ― | pickledip | 40.5 | 0 |
| 70 | ― | mcrorigan | 39.5 | 0 |
| 71 | ― | runhaags1 | 23.5 | 0 |
| 72 | ― | DorHarris | 18.0 | 0 |
| 73 | ― | WiscMIIe | 17.3 | 0 |
| 74 | ― | Venturace | 14.5 | 0 |
| 75 | ― | narlano | 12.5 | 0 |
| 76 | ― | tiwnuja | 10.4 | 0 |
| 77 | ― | kootrtt | 10.0 | 0 |
| 78 | ― | Living_Estate4681 | 5.7 | 0 |
| 79 | ― | ClimbRunRide | 0.0 | 0 |
| 80 | ― | deepfunkisexihouse | 0.0 | 0 |
| 81 | ― | detestrian | 0.0 | 0 |
| 82 | ― | MadnessBeliever | 0.0 | 0 |
| 83 | ― | mcbirk | 0.0 | 0 |
| 84 | ― | ZBGT | 0.0 | 0 |
| 85 | ― | bassmanyoowan | 0.0 | 0 |
| 86 | ― | cyclotech | 0.0 | 0 |
| 87 | ― | D4RK_3LF | 0.0 | 0 |
| 88 | ― | GmckAgar | 0.0 | 0 |
| 89 | ― | JBREAK123 | 0.0 | 0 |
| 90 | ― | K2daL | 0.0 | 0 |
| 91 | ― | Lxnnox | 0.0 | 0 |
| 92 | ― | nahgoe16 | 0.0 | 0 |
| 93 | ― | NinaOneEight | 0.0 | 0 |
| 94 | ― | ShortBus | 0.0 | 0 |
| 95 | ― | SnooCakes4006 | 0.0 | 0 |

Awarded to the player who scores
the most points in stage races
during the season
Last updated on November 16, 2025 for Tour of Guangxi
| Rank | ↓↑ | User | Total Score | Latest Score |
|---|---|---|---|---|
| 1 | ― | ser-seaworth | 830.0 | 12.0 |
| 2 | ― | andytheciderman | 795.3 | 94.0 |
| 3 | ― | Divergee5 | 720.7 | 56.0 |
| 4 | ― | Verlichtingszucht | 718.0 | 0.0 |
| 5 | ― | TheSlyBean | 628.4 | 0.0 |
| 6 | ― | yellow52 | 623.2 | 0.0 |
| 7 | ― | OkChipmunk3854 | 605.5 | 0.0 |
| 8 | ― | iamczecksy | 601.6 | 0.0 |
| 9 | ― | MrR2D | 559.3 | 20.0 |
| 10 | ― | Norskov | 548.8 | 0.0 |
| 11 | ― | Nussig | 547.2 | 0.0 |
| 12 | ― | LurkasM1 | 487.8 | 0.0 |
| 13 | ― | RaylanGivens8 | 475.1 | 20.0 |
| 14 | ― | alpal2214 | 474.4 | 0.0 |
| 15 | ― | Kryziven | 464.2 | 0.0 |
| 16 | ― | Salty-Level | 456.5 | 0.0 |
| 17 | ― | JDdieSonne | 427.3 | 0.0 |
| 18 | ― | CudoLanda | 424.8 | 0.0 |
| 19 | ― | djordastic | 418.9 | 0.0 |
| 20 | ― | paulindy2000 | 408.4 | 76.0 |
| 21 | ― | fetamorphasis | 406.0 | 0.0 |
| 22 | ― | LynniePinnie67 | 405.0 | 0.0 |
| 23 | ― | beaker15 | 373.2 | 0.0 |
| 24 | ― | Redskin44 | 360.2 | 0.0 |
| 25 | ― | edlll91 | 356.6 | 0.0 |
| 26 | ― | isaiahHat | 312.2 | 6.5 |
| 27 | ― | Lyx97 | 302.0 | 0.0 |
| 28 | ― | Judas_Bishop | 294.8 | 0.0 |
| 29 | ― | Mattxps | 284.3 | 0.0 |
| 30 | ― | fewfiet | 282.2 | 0.0 |
| 31 | ― | Realistic_Heaven | 279.5 | 142.0 |
| 32 | ― | AwakenTheBacon_ | 272.8 | 0.0 |
| 33 | ― | wonderbeann | 267.5 | 0.0 |
| 34 | ― | GregLeBlonde | 263.2 | 0.0 |
| 35 | ― | BSantos57 | 257.4 | 6.5 |
| 36 | ― | DerpTrain | 250.9 | 0.0 |
| 37 | ― | CadenceChallenged | 247.4 | 0.0 |
| 38 | ― | burden321 | 246.0 | 0.0 |
| 39 | ― | ssfoxx27 | 245.8 | 20.0 |
| 40 | ― | Living_Estate4681 | 243.5 | 0.0 |
| 41 | ― | Sappert | 229.8 | 0.0 |
| 42 | ― | Avila99 | 229.4 | 6.5 |
| 43 | ― | Team_Telekom | 225.5 | 20.0 |
| 44 | ― | LJSchoppert | 224.1 | 0.0 |
| 45 | ― | BWallis17 | 203.4 | 6.5 |
| 46 | ― | Eyeconoclastic | 202.6 | 0.0 |
| 47 | ― | Zeckesan | 199.2 | 0.0 |
| 48 | ― | Funny-Substance5576 | 183.9 | 0.0 |
| 49 | ― | ULhothot | 179.7 | 0.0 |
| 50 | ― | Xcpa9 | 170.8 | 0.0 |
| 51 | ― | listenyall | 165.3 | 0.0 |
| 52 | ― | detestrian | 149.3 | 0.0 |
| 53 | ― | marleycats | 132.5 | 0.0 |
| 54 | ― | mcrorigan | 132.0 | 0.0 |
| 55 | ― | sharkbait_hahaha | 124.9 | 0.0 |
| 56 | ― | derwipok | 109.7 | 0.0 |
| 57 | ― | SparkleCrotchLover | 107.6 | 0.0 |
| 58 | ― | BigMikeS | 100.6 | 0.0 |
| 59 | ― | wildcat25burner | 100.0 | 0.0 |
| 60 | ― | nahgoe16 | 93.3 | 0.0 |
| 61 | ― | sudomakemetacos | 85.0 | 0.0 |
| 62 | ― | IPJBrennan | 84.8 | 0.0 |
| 63 | ― | WiscMIIe | 83.0 | 0.0 |
| 64 | ― | ZBGT | 81.6 | 0.0 |
| 65 | ― | GmckAgar | 80.0 | 0.0 |
| 66 | ― | f1phoenix | 78.0 | 0.0 |
| 67 | ― | Jumpy-Cricket4744 | 71.1 | 0.0 |
| 68 | ― | MadnessBeliever | 66.7 | 0.0 |
| 69 | ― | Fourstar | 66.7 | 0.0 |
| 70 | ― | Thomas1VL | 62.2 | 0.0 |
| 71 | ― | sunnyB8 | 50.0 | 0.0 |
| 72 | ― | vbarrielle | 46.0 | 0.0 |
| 73 | ― | paaulo | 40.0 | 0.0 |
| 74 | ― | tiwnuja | 25.3 | 0.0 |
| 75 | ― | cyclotech | 24.0 | 0.0 |
| 76 | ― | narlano | 22.2 | 0.0 |
| 77 | ― | bassmanyoowan | 18.0 | 0.0 |
| 78 | ― | thebigscratch | 17.5 | 0.0 |
| 79 | ― | YourBeneluxOverlords | 16.0 | 0.0 |
| 80 | ― | ShortBus | 9.0 | 0.0 |
| 81 | ― | Lxnnox | 5.6 | 0.0 |
| 82 | ― | ClimbRunRide | 0.0 | 0.0 |
| 83 | ― | D4RK_3LF | 0.0 | 0.0 |
| 84 | ― | DorHarris | 0.0 | 0.0 |
| 85 | ― | JBREAK123 | 0.0 | 0.0 |
| 86 | ― | K2daL | 0.0 | 0.0 |
| 87 | ― | markp88 | 0.0 | 0.0 |
| 88 | ― | NinaOneEight | 0.0 | 0.0 |
| 89 | ― | SnooCakes4006 | 0.0 | 0.0 |

Awarded to the player who scores
the most points in a single race
during the season
More Information
Last updated on June 15, 2025 for Criterium du Dauphiné
| Rank | User | Score | Rider | Race | |
|---|---|---|---|---|---|
| 1 | Wateroski | 396 | Tadej Pogacar | Roubaix | |
| 2 | Verlichtingszucht | 355 | Damiano Caruso | Giro | |
| 3 | edlll91 | 322 | Mathieu van der Poel | Flanders | |
| 4 | Ok_Chipmunk_3854 | 300 | Egan Bernal | Giro | |
| 5 | marleycats | 262 | Kaden Groves | Sanremo | |
| 5 | MrR2D | 262 | Florian Vermeersch | Roubaix | |
| 7 | CudoLanda | 252 | Thymen Arensman | Paris–Nice | |
| 8 | BWallis17 | 240 | Magnus Cort | Sanremo | |
| 9 | Judas_Bishop | 221 | Magnus Sheffield | Paris–Nice | |
| ✬ | 9 | Living_Estate4681 | 221 | Remco Evenepoel | Dauphiné |
| 11 | Nussig | 218 | Enric Mas | Itzulia | |
| 12 | andytheciderman | 205 | Adam Yates | Giro | |
| 13 | LurkasM1 | 204 | Jai Hindley | Tirreno | |
| 13 | Lyx97 | 204 | Filippo Ganna | Flanders | |
| ✬ | 13 | Norskov | 204 | Halland Johannessen Tobias | Dauphiné |
| 16 | beaker15 | 176 | Enric Mas | Catalunya | |
| 16 | RaylanGivens8 | 176 | Pello Bilbao | UAE Tour | |
| 18 | Jumpy-Cricket4744 | 175 | Neilson Powless | Liège | |
| 19 | Mattxps | 173 | Pedro Lopez Juan | Romandie | |
| 20 | Eyeconoclastic | 160 | Nicolas Prodhomme | Giro | |
| 21 | Divergee5 | 159 | Junior Lecerf | Romandie | |
| 22 | Funny-Substance5576 | 150 | Neilson Powless | Dwars | |
| 22 | ser-seaworth | 150 | Tim Wellens | Strade | |
| ✬ | 24 | alpal2214 | 147 | Carlos Rodriguez | Dauphiné |
| 25 | detestrian | 140 | Matteo Jorgenson | Paris–Nice | |
| 25 | fewfiet | 140 | Juan Ayuso | Tirreno | |
| 25 | iamczecksy | 140 | Matteo Jorgenson | Paris–Nice | |
| 25 | Kryziven | 140 | Juan Ayuso | Tirreno | |
| 25 | LJSchoppert | 140 | Giulio Ciccone | Liège | |
| 25 | MaxAeroMustache | 140 | Mads Pedersen | Flanders | |
| 31 | burden321 | 131 | Alexander Kristoff | Gent | |
| 31 | listenyall | 131 | Ben Healy | Strade | |
| 33 | Redskin44 | 130 | Laurens De Plus | Catalunya | |
| 34 | GregLeBlonde | 127 | Pablo Castrillo | Paris–Nice | |
| 35 | JDdieSonne | 125 | Simon Yates | Giro | |
| 35 | LynniePinnie67 | 125 | Simon Yates | Giro | |
| 35 | mcrorigan | 125 | Simon Yates | Giro | |
| 38 | Sappert | 124 | Madis Mihkels | Roubaix | |
| 39 | derwipok | 120 | Hugo Hofstetter | Gent | |
| 40 | WiscMIIe | 116.7 | Mathieu van der Poel | Roubaix | |
| 41 | DerpTrain | 112 | Gianni Vermeersch | Flanders | |
| 42 | sharkbait_hahaha | 110 | Guillaume Martin-Guyonnet | Itzulia | |
| 42 | Zeckesan | 110 | Santiago Buitrago | Flèche | |
| 44 | paulindy2000 | 101 | Romain Grégoire | Flèche | |
| 45 | isaiahHat | 100 | Harold Tejada | Romandie | |
| 46 | sudomakemetacos | 93.3 | Filippo Ganna | Sanremo | |
| 47 | yellow52 | 93 | Tiesj Benoot | Amstel | |
| 48 | nahgoe16 | 90 | Edoardo Zambanini | Sanremo | |
| 49 | IPJBrennan | 83.3 | Derek Gee | Giro | |
| 50 | GmckAgar | 80 | Javier Romo | Down Under | |
| 51 | wonderbeann | 79 | Laurenz Rex | Gent | |
| 52 | Team_Telekom | 76 | Santiago Buitrago | Itzulia | |
| 53 | fetamorphasis | 74.7 | Lenny Martinez | Romandie | |
| 53 | TheSlyBean | 74.7 | Lenny Martinez | Romandie | |
| 55 | CadenceChallenged | 72 | Mads Pedersen | E3 | |
| 56 | ssfoxx27 | 70 | Tiesj Benoot | Flanders | |
| 57 | djordastic | 66.7 | Jhonatan Narvaez | Down Under | |
| 57 | MadnessBeliever | 66.7 | Jhonatan Narvaez | Down Under | |
| 57 | **** | 66.7 | Joao Almeida | Itzulia | |
| 60 | BSantos57 | 58.3 | Tadej Pogacar | Liège | |
| 61 | AwakenTheBacon_ | 58 | Matteo Trentin | E3 | |
| 62 | markp88 | 56 | Christian Scaroni | Liège | |
| 63 | SparkleCrotchLover | 53.3 | Einer Rubio | Giro | |
| 64 | paaulo | 50 | António Morgado | Roubaix | |
| 64 | sunnyB8 | 50 | Primoz Roglic | Catalunya | |
| ✬ | 66 | Realistic_Heaven | 45 | Paul Seixas | Dauphiné |
| 67 | Salty-Level | 42 | Jasper Philipsen | Roubaix | |
| 68 | Big_Mike_S | 40 | Joao Almeida | Romandie | |
| 68 | Thomas1VL | 40 | Lucas Plapp | Down Under | |
| 68 | Xcpa9 | 40 | Finn Fisher-Black | Down Under | |
| 71 | vbarrielle | 36 | Kévin Vauquelin | Flèche | |
| 72 | Avila99 | 35 | Michael Matthews | Flanders | |
| 73 | ULhothot | 26 | Michael Storer | Giro | |
| 74 | cyclotech | 24 | Esteban Chaves | UAE Tour | |
| 75 | runhaags1 | 23.5 | Roger Adrià | Strade | |
| 76 | ZBGT | 22.5 | Davide Piganzoli | Giro | |
| 77 | narlano | 22.2 | Tadej Pogacar | UAE Tour | |
| 78 | bassmanyoowan | 18 | Magnus Sheffield | Down Under | |
| 78 | DorHarris | 18 | Corbin Strong | Cadel Evans | |
| 80 | thebigscratch | 17.5 | Lorenzo Fortunato | Giro | |
| 81 | tiwnuja | 16 | Matthew Riccitello | Catalunya | |
| 81 | YourBeneluxOverlords | 16 | Lennert Van Eetvelt | UAE Tour | |
| 83 | Venturace | 14.5 | Thibau Nys | Flèche | |
| 84 | kootrtt | 10 | Julian Alaphilippe | Amstel | |
| 85 | Short_Bus_ | 9 | Pablo Torres | Down Under | |
| 86 | Lxnnox | 5.6 | Matthew Riccitello | UAE Tour |
Back to TopSymbols
✬ Made their best pick in the latest race

Awarded to the player who scores
the most points from riders who finished second
during the season
More Information
Last updated on June 15, 2025 for Criterium du Dauphiné
| Rank | User | Score | Picks | Last Race Score | |
|---|---|---|---|---|---|
| 1 | Wateroski | 396 | 1 | ― | |
| ✴ | 2 | Nussig | 299.7 | 4 | 44.8 |
| 3 | MaxAeroMustache | 233.3 | 2 | ― | |
| 4 | Norskov | 220 | 2 | ― | |
| 5 | Verlichtingszucht | 212.3 | 2 | ― | |
| 6 | paulindy2000 | 146.7 | 2 | ― | |
| 7 | sudomakemetacos | 141.3 | 2 | ― | |
| 8 | CudoLanda | 140 | 1 | ― | |
| 8 | LJSchoppert | 140 | 1 | ― | |
| ✴ | 10 | fetamorphasis | 119.5 | 2 | 44.8 |
| 11 | edlll91 | 108.9 | 3 | ― | |
| 12 | Funny-Substance5576 | 101.3 | 2 | ― | |
| 13 | Eyeconoclastic | 93.9 | 3 | ― | |
| 14 | CadenceChallenged | 87 | 2 | ― | |
| 15 | GmckAgar | 80 | 1 | ― | |
| ✴ | 16 | AwakenTheBacon_ | 76.8 | 2 | 44.8 |
| 17 | TheSlyBean | 74.7 | 1 | ― | |
| 18 | LynniePinnie67 | 72 | 1 | ― | |
| 18 | Zeckesan | 72 | 2 | ― | |
| 20 | GregLeBlonde | 68.3 | 2 | ― | |
| 20 | iamczecksy | 68.3 | 2 | ― | |
| ✴ | 22 | listenyall | 57.7 | 2 | 44.8 |
| 23 | Kryziven | 56 | 2 | ― | |
| 24 | fewfiet | 53.3 | 1 | ― | |
| 24 | nahgoe16 | 53.3 | 1 | ― | |
| 24 | Ok_Chipmunk_3854 | 53.3 | 1 | ― | |
| 27 | Mattxps | 48.9 | 2 | ― | |
| 28 | DerpTrain | 45 | 1 | ― | |
| 29 | Xcpa9 | 44.9 | 2 | ― | |
| ✴ | 30 | beaker15 | 44.8 | 1 | 44.8 |
| 31 | ssfoxx27 | 36 | 1 | ― | |
| 31 | vbarrielle | 36 | 1 | ― | |
| 33 | Avila99 | 32 | 1 | ― | |
| 33 | BWallis17 | 32 | 1 | ― | |
| 33 | JDdieSonne | 32 | 1 | ― | |
| 33 | LurkasM1 | 32 | 1 | ― | |
| 37 | djordastic | 27.9 | 2 | ― | |
| 38 | IPJBrennan | 24 | 1 | ― | |
| 38 | Jumpy-Cricket4744 | 24 | 1 | ― | |
| 40 | andytheciderman | 15 | 1 | ― | |
| 40 | ser-seaworth | 15 | 1 | ― |
Back to TopSymbols
✴ Scored points in the latest race

Awarded to the player who scores
points in the most races
during the season
More Information
Last updated on June 15, 2025 for Criterium du Dauphiné
| Rank | User | Successful Picks | Entries | |
|---|---|---|---|---|
| ⚘ | 1 | BSantos57 | 17 | 23 |
| 2 | iamczecksy | 17 | 20 | |
| 2 | Nussig | 17 | 20 | |
| ⚘ | 4 | isaiahHat | 16 | 23 |
| ⚘ | 4 | Redskin44 | 16 | 23 |
| 6 | CadenceChallenged | 16 | 22 | |
| 6 | RaylanGivens8 | 16 | 22 | |
| ⚘ | 8 | beaker15 | 15 | 23 |
| ⚘ | 8 | DerpTrain | 15 | 23 |
| ⚘ | 8 | Divergee5 | 15 | 23 |
| ⚘ | 8 | JDdieSonne | 15 | 23 |
| 12 | andytheciderman | 15 | 22 | |
| 12 | ser-seaworth | 15 | 22 | |
| 12 | Verlichtingszucht | 15 | 22 | |
| 12 | Zeckesan | 15 | 22 | |
| 16 | MrR2D | 15 | 21 | |
| ⚘ | 17 | LJSchoppert | 14 | 23 |
| ⚘ | 17 | Ok_Chipmunk_3854 | 14 | 23 |
| ⚘ | 17 | paulindy2000 | 14 | 23 |
| 20 | Kryziven | 14 | 21 | |
| 21 | CudoLanda | 14 | 20 | |
| 21 | Norskov | 14 | 20 | |
| ⚘ | 23 | AwakenTheBacon_ | 13 | 23 |
| ⚘ | 23 | Judas_Bishop | 13 | 23 |
| ⚘ | 23 | listenyall | 13 | 23 |
| 26 | alpal2214 | 13 | 22 | |
| 27 | fetamorphasis | 13 | 21 | |
| 28 | derwipok | 13 | 19 | |
| 29 | djordastic | 13 | 18 | |
| ⚘ | 30 | wonderbeann | 12 | 23 |
| 31 | BWallis17 | 12 | 22 | |
| 32 | GregLeBlonde | 12 | 21 | |
| 32 | sudomakemetacos | 12 | 21 | |
| 34 | Lyx97 | 12 | 19 | |
| 35 | edlll91 | 12 | 18 | |
| 36 | Mattxps | 12 | 17 | |
| 37 | fewfiet | 12 | 15 | |
| 38 | LurkasM1 | 11 | 22 | |
| 38 | LynniePinnie67 | 11 | 22 | |
| 40 | ssfoxx27 | 11 | 21 | |
| 41 | yellow52 | 11 | 20 | |
| ⚘ | 42 | Team_Telekom | 10 | 23 |
| 43 | Xcpa9 | 10 | 17 | |
| ⚘ | 44 | Avila99 | 9 | 23 |
| 45 | sharkbait_hahaha | 9 | 21 | |
| 46 | Big_Mike_S | 9 | 19 | |
| 46 | burden321 | 9 | 19 | |
| 48 | Funny-Substance5576 | 9 | 14 | |
| 49 | Eyeconoclastic | 8 | 19 | |
| 50 | SparkleCrotchLover | 7 | 14 | |
| 50 | WiscMIIe | 7 | 14 | |
| 52 | marleycats | 6 | 17 | |
| 52 | nahgoe16 | 6 | 17 | |
| 54 | vbarrielle | 6 | 14 | |
| 55 | Sappert | 6 | 13 | |
| 56 | ZBGT | 5 | 11 | |
| 57 | IPJBrennan | 5 | 7 | |
| ⍟ | 58 | Jumpy-Cricket4744 | 5 | 5 |
| ⍟ | 58 | **** | 5 | 5 |
| 60 | MaxAeroMustache | 4 | 7 | |
| 60 | Salty-Level | 4 | 7 | |
| 62 | TheSlyBean | 4 | 6 | |
| 63 | mcrorigan | 4 | 5 | |
| 64 | sunnyB8 | 3 | 10 | |
| 65 | tiwnuja | 3 | 8 | |
| ⍟ | 66 | Living_Estate4681 | 3 | 3 |
| 67 | paaulo | 2 | 7 | |
| 68 | detestrian | 2 | 5 | |
| 69 | narlano | 2 | 4 | |
| ⍟ | 70 | Realistic_Heaven | 2 | 2 |
| ⍟ | 70 | Thomas1VL | 2 | 2 |
| ⍟ | 70 | Wateroski | 2 | 2 |
| 73 | kootrtt | 1 | 3 | |
| 74 | DorHarris | 1 | 2 | |
| 74 | MadnessBeliever | 1 | 2 | |
| 74 | markp88 | 1 | 2 | |
| 74 | YourBeneluxOverlords | 1 | 2 | |
| ⍟ | 78 | bassmanyoowan | 1 | 1 |
| ⍟ | 78 | cyclotech | 1 | 1 |
| ⍟ | 78 | GmckAgar | 1 | 1 |
| ⍟ | 78 | Lxnnox | 1 | 1 |
| ⍟ | 78 | runhaags1 | 1 | 1 |
| ⍟ | 78 | Short_Bus_ | 1 | 1 |
| ⍟ | 78 | thebigscratch | 1 | 1 |
| ⍟ | 78 | ULhothot | 1 | 1 |
| ⍟ | 78 | Venturace | 1 | 1 |
| ⛒ | 87 | ClimbRunRide | 0 | 3 |
| ⛒ | 88 | D4RK_3LF | 0 | 1 |
| ⛒ | 88 | deepfunkisexihouse | 0 | 1 |
| ⛒ | 88 | JBREAK123 | 0 | 1 |
| ⛒ | 88 | K2daL | 0 | 1 |
| ⛒ | 88 | mcbirk | 0 | 1 |
| ⛒ | 88 | NinaOneEight | 0 | 1 |
| ⛒ | 88 | SnooCakes4006 | 0 | 1 |
Back to TopSymbols
⚘ Entered all races
⍟ Scored on all entries
⛒ SkunkedIn case of a tie...
The player who has made most picks wins

Awarded to the player who scores
the most points from one rider
during the season
More Information
Last updated on June 15, 2025 for Criterium du Dauphiné
| Rank | User | Score | Rider | Picks | Last Race Score | |
|---|---|---|---|---|---|---|
| 1 | edlll91 | 438.7 | Mathieu van der Poel | 2 | ― | |
| ✴ | 2 | Kryziven | 261.6 | Tadej Pogacar | 5 | 93.3 |
| 3 | paulindy2000 | 229.3 | Romain Grégoire | 4 | ― | |
| 4 | Lyx97 | 218 | Filippo Ganna | 2 | ― | |
| 5 | Nussig | 202.3 | Tadej Pogacar | 4 | ― | |
| 6 | fewfiet | 193.3 | Juan Ayuso | 2 | ― | |
| 7 | beaker15 | 175.7 | Biniam Girmay | 3 | ― | |
| ✴ | 8 | andytheciderman | 151.5 | Tadej Pogacar | 3 | 93.3 |
| 9 | JDdieSonne | 141.7 | Simon Yates | 2 | ― | |
| 10 | yellow52 | 141.3 | Tiesj Benoot | 3 | ― | |
| 11 | iamczecksy | 133.6 | Wout van Aert | 5 | ― | |
| ✴ | 12 | Sappert | 123.3 | Tadej Pogacar | 2 | 93.3 |
| 13 | sharkbait_hahaha | 117 | Guillaume Martin-Guyonnet | 2 | ― | |
| 14 | CadenceChallenged | 114 | Mads Pedersen | 2 | ― | |
| 15 | sudomakemetacos | 107.3 | Filippo Ganna | 2 | ― | |
| 16 | isaiahHat | 106.7 | Harold Tejada | 2 | ― | |
| 17 | Norskov | 106.6 | Derek Gee | 2 | ― | |
| ✴ | 18 | LurkasM1 | 99 | Florian Lipowitz | 3 | 42 |
| 19 | LynniePinnie67 | 96 | Wilco Kelderman | 2 | ― | |
| 20 | BSantos57 | 94.3 | Tadej Pogacar | 2 | ― | |
| 21 | ser-seaworth | 93 | Tim van Dijke | 2 | ― | |
| 22 | MaxAeroMustache | 88.3 | Tadej Pogacar | 2 | ― | |
| 23 | LJSchoppert | 81 | Isaac del Toro | 2 | ― | |
| 24 | sunnyB8 | 80 | Tadej Pogacar | 2 | ― | |
| 25 | burden321 | 79.3 | Antonio Tiberi | 2 | ― | |
| ✴ | 26 | TheSlyBean | 77.4 | Lenny Martinez | 2 | 2.7 |
| 27 | Divergee5 | 76 | Mauro Schmid | 2 | ― | |
| 28 | Zeckesan | 74 | Tadej Pogacar | 2 | ― | |
| 29 | alpal2214 | 71 | Oscar Onley | 2 | ― | |
| 30 | IPJBrennan | 70.5 | Ben Healy | 2 | ― | |
| 31 | Big_Mike_S | 70 | Michael Matthews | 2 | ― | |
| 31 | Eyeconoclastic | 70 | Wout van Aert | 2 | ― | |
| 33 | djordastic | 67.7 | Mads Pedersen | 2 | ― | |
| 34 | AwakenTheBacon_ | 67 | Lorenzo Fortunato | 2 | ― | |
| ✴ | 34 | RaylanGivens8 | 67 | Florian Lipowitz | 2 | 42 |
| 36 | fetamorphasis | 60.8 | Pello Bilbao | 2 | ― | |
| 37 | Redskin44 | 56.5 | Rick Pluimers | 2 | ― | |
| 38 | Ok_Chipmunk_3854 | 53.5 | Michael Matthews | 3 | ― | |
| 39 | Xcpa9 | 52.2 | Tadej Pogacar | 2 | ― | |
| 40 | MrR2D | 48 | Lenny Martinez | 2 | ― | |
| 41 | ssfoxx27 | 42 | Michael Storer | 2 | ― | |
| 41 | ZBGT | 42 | Davide Piganzoli | 2 | ― | |
| 43 | BWallis17 | 39.5 | Mike Teunissen | 2 | ― | |
| 44 | listenyall | 37.7 | Mads Pedersen | 2 | ― | |
| 44 | **** | 37.7 | Mads Pedersen | 2 | ― | |
| 46 | vbarrielle | 36.5 | Valentin Madouas | 2 | ― | |
| ✴ | 47 | WiscMIIe | 23.4 | Matteo Jorgenson | 2 | 22.4 |
| 48 | GregLeBlonde | 19.8 | Wout van Aert | 2 | ― |
Back to TopSymbols
✴ Scored points in the latest raceEligibility
Only successful picks are counted.
Must score points with one rider in a minimum of two races

Awarded to the player who makes
the most unique picks
during the season
More Information
Last updated on June 15, 2025 for Criterium du Dauphiné
| Rank | User | Unique Picks | Unique Entries | Unique Score | Latest Unique Entry | Race | Result | |
|---|---|---|---|---|---|---|---|---|
| 1 | ser-seaworth | 8 | 12 | 585 | Oscar Onley | Romandie | 84 | |
| 2 | Redskin44 | 6 | 8 | 413 | Florian Vermeersch | Frankfurt | 0 | |
| 3 | andytheciderman | 5 | 7 | 438 | Adam Yates | Giro | 205 | |
| 4 | Divergee5 | 4 | 11 | 394 | Cristian Scaroni | Giro | 0 | |
| 5 | Judas_Bishop | 4 | 10 | 293 | Pascal Ackermann | Frankfurt | 0 | |
| ✪ | 6 | wonderbeann | 4 | 9 | 216 | Sergio Higuita | Dauphiné | 50 |
| 7 | paulindy2000 | 4 | 7 | 295 | Romain Grégoire | Liège | 84 | |
| 8 | beaker15 | 4 | 6 | 393 | Ben Healy | Frankfurt | 0 | |
| ✪ | 9 | Norskov | 4 | 6 | 391 | Halland Johannessen Tobias | Dauphiné | 204 |
| ✪ | 10 | Lyx97 | 3 | 8 | 276 | Romain Bardet | Dauphiné | 28 |
| 11 | AwakenTheBacon_ | 3 | 8 | 150 | Wout Poels | Giro | 0 | |
| 12 | Verlichtingszucht | 3 | 6 | 678 | Damiano Caruso | Giro | 355 | |
| 13 | Ok_Chipmunk_3854 | 3 | 6 | 557 | Egan Bernal | Giro | 300 | |
| 14 | LynniePinnie67 | 3 | 6 | 122 | Magnus Cort | Liège | 0 | |
| 15 | MrR2D | 3 | 5 | 483 | Florian Vermeersch | Roubaix | 262 | |
| 16 | RaylanGivens8 | 3 | 5 | 234 | Rick Pluimers | Frankfurt | 0 | |
| 17 | DerpTrain | 3 | 4 | 301 | Iván García Cortina | Roubaix | 0 | |
| 18 | nahgoe16 | 2 | 10 | 114 | Finn Fisher-Black | Amstel | 0 | |
| 19 | sharkbait_hahaha | 2 | 9 | 118 | Matthew Brennan | Romandie | 0 | |
| 20 | listenyall | 2 | 8 | 176 | Kragh Andersen Søren | Frankfurt | 0 | |
| 21 | LurkasM1 | 2 | 7 | 368 | Maxim Van Gils | Amstel | 0 | |
| 22 | Team_Telekom | 2 | 6 | 119 | Carlos Rodriguez | Liège | 0 | |
| ⊛ | 23 | yellow52 | 2 | 5 | 165 | Max Poole | Dauphiné | 0 |
| 24 | Sappert | 2 | 4 | 140 | Max Schachmann | Amstel | 0 | |
| 25 | edlll91 | 2 | 3 | 412 | Mathieu van der Poel | Flanders | 322 | |
| 26 | Nussig | 2 | 3 | 368 | Enric Mas | Itzulia | 218 | |
| ⊛ | 27 | BWallis17 | 2 | 3 | 252 | Magnus Sheffield | Dauphiné | 0 |
| 28 | JDdieSonne | 2 | 3 | 125 | Georg Zimmermann | Frankfurt | 0 | |
| 29 | Wateroski | 2 | 2 | 452 | Tadej Pogacar | Roubaix | 396 | |
| 30 | derwipok | 2 | 2 | 173 | Alessandro Covi | Frankfurt | 53 | |
| 31 | burden321 | 2 | 2 | 164 | Biniam Girmay | Dwars | 33 | |
| 32 | GregLeBlonde | 1 | 6 | 127 | Kevin Vermaerke | Frankfurt | 0 | |
| 33 | sudomakemetacos | 1 | 6 | 12 | Laurens De Plus | Romandie | 0 | |
| ✪ | 34 | alpal2214 | 1 | 5 | 147 | Carlos Rodriguez | Dauphiné | 147 |
| 35 | paaulo | 1 | 5 | 50 | António Morgado | Roubaix | 50 | |
| 36 | marleycats | 1 | 4 | 262 | Max Walscheid | Roubaix | 0 | |
| 37 | Eyeconoclastic | 1 | 4 | 160 | Nicolas Prodhomme | Giro | 160 | |
| 38 | isaiahHat | 1 | 4 | 100 | Harold Tejada | Romandie | 100 | |
| 39 | CudoLanda | 1 | 2 | 252 | Dorian Godon | Flèche | 0 | |
| 40 | Mattxps | 1 | 2 | 173 | Pedro Lopez Juan | Romandie | 173 | |
| 41 | Funny-Substance5576 | 1 | 2 | 150 | Julian Alaphilippe | Frankfurt | 0 | |
| 42 | LJSchoppert | 1 | 2 | 64 | Isaac del Toro | Itzulia | 64 | |
| ✪ | 43 | Living_Estate4681 | 1 | 1 | 221 | Remco Evenepoel | Dauphiné | 221 |
| 44 | Jumpy-Cricket4744 | 1 | 1 | 175 | Neilson Powless | Liège | 175 | |
| 45 | Zeckesan | 1 | 1 | 110 | Santiago Buitrago | Flèche | 110 | |
| 46 | markp88 | 1 | 1 | 56 | Christian Scaroni | Liège | 56 | |
| 47 | iamczecksy | 1 | 1 | 34 | Filippo Zana | Tirreno | 34 | |
| 48 | cyclotech | 1 | 1 | 24 | Esteban Chaves | UAE Tour | 24 | |
| 49 | Avila99 | 0 | 6 | 0 | Attila Valter | Flèche | 0 | |
| 50 | ZBGT | 0 | 5 | 0 | Pierre Barbier | De Panne | 0 | |
| 51 | SparkleCrotchLover | 0 | 4 | 0 | Alec Segaert | Flanders | 0 | |
| 51 | WiscMIIe | 0 | 4 | 0 | Jordi Meeus | Flanders | 0 | |
| 53 | fetamorphasis | 0 | 3 | 0 | Lenny Martinez | Frankfurt | 0 | |
| 53 | djordastic | 0 | 3 | 0 | Matej Mohoric | Roubaix | 0 | |
| 53 | MaxAeroMustache | 0 | 3 | 0 | Jonas Abrahamsen | Roubaix | 0 | |
| ⊛ | 56 | Xcpa9 | 0 | 2 | 0 | Harold Tejada | Dauphiné | 0 |
| 56 | tiwnuja | 0 | 2 | 0 | Jasper Philipsen | Dwars | 0 | |
| 56 | ssfoxx27 | 0 | 2 | 0 | Urko Berrade | Catalunya | 0 | |
| 59 | IPJBrennan | 0 | 1 | 0 | Santiago Buitrago | Frankfurt | 0 | |
| 59 | TheSlyBean | 0 | 1 | 0 | John Degenkolb | Frankfurt | 0 | |
| 59 | kootrtt | 0 | 1 | 0 | Nils Politt | Roubaix | 0 | |
| 59 | sunnyB8 | 0 | 1 | 0 | Lukas Kubis | Roubaix | 0 | |
| 59 | Big_Mike_S | 0 | 1 | 0 | Alberto Bettiol | Strade | 0 | |
| 59 | detestrian | 0 | 1 | 0 | Jakob Fuglsang | Strade | 0 | |
| 59 | mcbirk | 0 | 1 | 0 | Kaden Groves | Omloop | 0 | |
| 59 | narlano | 0 | 1 | 0 | Oier Lazkano | Omloop | 0 | |
| 59 | CadenceChallenged | 0 | 1 | 0 | Chris Harper | UAE Tour | 0 | |
| 59 | vbarrielle | 0 | 1 | 0 | Paul Seixas | UAE Tour | 0 | |
| 59 | D4RK_3LF | 0 | 1 | 0 | Andrea Vendrame | Down Under | 0 | |
| 59 | DorHarris | 0 | 1 | 0 | Michal Kwiatkowski | Down Under | 0 | |
| 59 | Kryziven | 0 | 1 | 0 | Alberto Bettiol | Down Under | 0 | |
| 59 | SnooCakes4006 | 0 | 1 | 0 | Francesco Busatto | Down Under | 0 | |
| 59 | YourBeneluxOverlords | 0 | 1 | 0 | Dylan van Baarle | Down Under | 0 |
Back to TopSymbols
✪ Made a unique pick in the latest race
⊛ Made a unique entry in the latest raceEligibility
Unique picks are made by just one player or less than 1% of all players in a race.In case of a tie...
The player who has made most unique entries wins.
If players are still tied, the player whose unique picks scored the most points wins.

Awarded to the player who earns
the most podium finishes
during the season
More Information
Last updated on June 15, 2025 for Criterium du Dauphiné
| Rank | User | Podiums | Firsts | Seconds | Thirds | Podium Points | Latest Podium | |
|---|---|---|---|---|---|---|---|---|
| 1 | Divergee5 | 6 | 0 | 3 | 3 | 463 | Romandie | |
| 2 | ser-seaworth | 4 | 2 | 2 | 0 | 398 | De Panne | |
| 3 | paulindy2000 | 4 | 1 | 1 | 2 | 255 | Flèche | |
| 4 | Verlichtingszucht | 3 | 2 | 0 | 1 | 678 | Giro | |
| 5 | Ok_Chipmunk_3854 | 3 | 1 | 2 | 0 | 578.3 | Giro | |
| 6 | derwipok | 3 | 1 | 2 | 0 | 233 | Frankfurt | |
| 7 | beaker15 | 3 | 1 | 0 | 2 | 239 | Amstel | |
| 8 | Redskin44 | 3 | 0 | 2 | 1 | 315 | Liège | |
| 9 | yellow52 | 3 | 0 | 2 | 1 | 187.7 | Amstel | |
| 10 | DerpTrain | 3 | 0 | 1 | 2 | 234 | Frankfurt | |
| 11 | Nussig | 2 | 2 | 0 | 0 | 368 | Itzulia | |
| 12 | CudoLanda | 2 | 1 | 1 | 0 | 392 | Liège | |
| 13 | edlll91 | 2 | 1 | 0 | 1 | 412 | Flanders | |
| 14 | LurkasM1 | 2 | 1 | 0 | 1 | 368 | Flanders | |
| 15 | RaylanGivens8 | 2 | 1 | 0 | 1 | 216 | Omloop | |
| 16 | Funny-Substance5576 | 2 | 1 | 0 | 1 | 203.3 | Dwars | |
| 17 | wonderbeann | 2 | 1 | 0 | 1 | 136 | Frankfurt | |
| 18 | LynniePinnie67 | 2 | 1 | 0 | 1 | 132 | Omloop | |
| 19 | MrR2D | 2 | 0 | 1 | 1 | 466 | Roubaix | |
| ✴ | 20 | Norskov | 2 | 0 | 1 | 1 | 314 | Dauphiné |
| 21 | fewfiet | 2 | 0 | 1 | 1 | 193.3 | Catalunya | |
| 22 | listenyall | 2 | 0 | 1 | 1 | 131 | Paris–Nice | |
| 23 | andytheciderman | 2 | 0 | 0 | 2 | 341 | Giro | |
| ✴ | 24 | alpal2214 | 2 | 0 | 0 | 2 | 169.7 | Dauphiné |
| 25 | Wateroski | 1 | 1 | 0 | 0 | 396 | Roubaix | |
| 26 | marleycats | 1 | 1 | 0 | 0 | 262 | Sanremo | |
| ✴ | 27 | Living_Estate4681 | 1 | 1 | 0 | 0 | 221 | Dauphiné |
| 28 | Jumpy-Cricket4744 | 1 | 1 | 0 | 0 | 175 | Liège | |
| 29 | Mattxps | 1 | 1 | 0 | 0 | 173 | Romandie | |
| 30 | burden321 | 1 | 1 | 0 | 0 | 131 | Gent | |
| 31 | Zeckesan | 1 | 1 | 0 | 0 | 110 | Flèche | |
| 32 | CadenceChallenged | 1 | 1 | 0 | 0 | 60 | De Panne | |
| 33 | vbarrielle | 1 | 1 | 0 | 0 | 28 | Paris–Nice | |
| 34 | BWallis17 | 1 | 0 | 1 | 0 | 240 | Sanremo | |
| 35 | Judas_Bishop | 1 | 0 | 1 | 0 | 221 | Paris–Nice | |
| 36 | Lyx97 | 1 | 0 | 1 | 0 | 204 | Flanders | |
| 37 | LJSchoppert | 1 | 0 | 1 | 0 | 140 | Liège | |
| 37 | Kryziven | 1 | 0 | 1 | 0 | 140 | Tirreno | |
| 39 | JDdieSonne | 1 | 0 | 1 | 0 | 85 | E3 | |
| 40 | GregLeBlonde | 1 | 0 | 1 | 0 | 53.3 | UAE Tour | |
| 40 | nahgoe16 | 1 | 0 | 1 | 0 | 53.3 | UAE Tour | |
| 42 | Sappert | 1 | 0 | 0 | 1 | 124 | Roubaix | |
| 43 | sharkbait_hahaha | 1 | 0 | 0 | 1 | 110 | Itzulia | |
| 44 | iamczecksy | 1 | 0 | 0 | 1 | 53.3 | Catalunya | |
| 45 | Eyeconoclastic | 1 | 0 | 0 | 1 | 45 | Frankfurt | |
| 46 | AwakenTheBacon_ | 1 | 0 | 0 | 1 | 37.5 | Dwars | |
| 46 | Big_Mike_S | 1 | 0 | 0 | 1 | 37.5 | Dwars | |
| 48 | isaiahHat | 1 | 0 | 0 | 1 | 22.7 | De Panne | |
| 49 | sudomakemetacos | 1 | 0 | 0 | 1 | 0 | Paris–Nice | |
| 49 | tiwnuja | 1 | 0 | 0 | 1 | 0 | Paris–Nice |
Back to TopSymbols
✴ Finished on the podium last race.Eligibility
A podium pick is one of the three highest scores in a race regardless of how many players share that score.In case of a tie...
The player with the most first, then second, then third place finishes wins.
If players are still tied, the player who has earned more points from podium finishes wins.
A total of 54 players entered:
| User | Pick | Base | Bonus | Score |
|---|---|---|---|---|
| Big_Mike_S | Giulio Ciccone | ― | ― | ― |
| BWallis17 | Giulio Ciccone | ― | ― | ― |
| detestrian | Giulio Ciccone | ― | ― | ― |
| isaiahHat | Giulio Ciccone | ― | ― | ― |
| tiwnuja | Giulio Ciccone | ― | ― | ― |
| Xcpa9 | Giulio Ciccone | ― | ― | ― |
| CudoLanda | Derek Gee | ― | ― | ― |
| LynniePinnie67 | Derek Gee | ― | ― | ― |
| Norskov | Derek Gee | ― | ― | ― |
| RaylanGivens8 | Derek Gee | ― | ― | ― |
| Redskin44 | Derek Gee | ― | ― | ― |
| WiscMIIe | Derek Gee | ― | ― | ― |
| Mattxps | Laurens De Plus | ― | ― | ― |
| Team_Telekom | Laurens De Plus | ― | ― | ― |
| yellow52 | Laurens De Plus | ― | ― | ― |
| MrR2D | Mikel Landa | ― | ― | ― |
| sudomakemetacos | Mikel Landa | ― | ― | ― |
| wonderbeann | Mikel Landa | ― | ― | ― |
| burden321 | Antonio Tiberi | ― | ― | ― |
| Verlichtingszucht | Antonio Tiberi | ― | ― | ― |
| Zeckesan | Antonio Tiberi | ― | ― | ― |
| alpal2214 | Simon Yates | ― | ― | ― |
| Divergee5 | Simon Yates | ― | ― | ― |
| JDdieSonne | Simon Yates | ― | ― | ― |
| fewfiet | Juan Ayuso | ― | ― | ― |
| Kryziven | Juan Ayuso | ― | ― | ― |
| BSantos57 | Pello Bilbao | ― | ― | ― |
| fetamorphasis | Pello Bilbao | ― | ― | ― |
| beaker15 | Richard Carapaz | ― | ― | ― |
| djordastic | Richard Carapaz | ― | ― | ― |
| LJSchoppert | Isaac del Toro | ― | ― | ― |
| ser-seaworth | Isaac del Toro | ― | ― | ― |
| Eyeconoclastic | David Gaudu | ― | ― | ― |
| sunnyB8 | David Gaudu | ― | ― | ― |
| andytheciderman | Tom Pidcock | ― | ― | ― |
| CadenceChallenged | Tom Pidcock | ― | ― | ― |
| ssfoxx27 | Davide Piganzoli | ― | ― | ― |
| ZBGT | Davide Piganzoli | ― | ― | ― |
| paulindy2000 | Kévin Vauquelin | ― | ― | ― |
| SparkleCrotchLover | Kévin Vauquelin | ― | ― | ― |
| DerpTrain | Adam Yates | ― | ― | ― |
| Nussig | Adam Yates | ― | ― | ― |
| nahgoe16 | Edward Dunbar | ― | ★ | ― |
| AwakenTheBacon_ | Lorenzo Fortunato | ― | ★ | ― |
| edlll91 | Romain Grégoire | ― | ★ | ― |
| LurkasM1 | Jai Hindley | ― | ★ | ― |
| Avila99 | Florian Lipowitz | ― | ★ | ― |
| sharkbait_hahaha | Valentin Paret-Peintre | ― | ★ | ― |
| Judas_Bishop | Wout Poels | ― | ★ | ― |
| listenyall | Toms Skujins | ― | ★ | ― |
| Ok_Chipmunk_3854 | Johannes Staune-Mittet | ― | ★ | ― |
| GregLeBlonde | Cian Uijtdebroeks | ― | ★ | ― |
| Lyx97 | Mathieu van der Poel | ― | ★ | ― |
| iamczecksy | Filippo Zana | ― | ★ | ― |
A total of 27 riders were picked:
| Rank | Rider | Picks | Base | Bonus |
|---|---|---|---|---|
| ― | Giulio Ciccone | 6 | ― | ― |
| ― | Derek Gee | 6 | ― | ― |
| ― | Laurens De Plus | 3 | ― | ― |
| ― | Mikel Landa | 3 | ― | ― |
| ― | Antonio Tiberi | 3 | ― | ― |
| ― | Simon Yates | 3 | ― | ― |
| ― | Juan Ayuso | 2 | ― | ― |
| ― | Pello Bilbao | 2 | ― | ― |
| ― | Richard Carapaz | 2 | ― | ― |
| ― | Isaac del Toro | 2 | ― | ― |
| ― | David Gaudu | 2 | ― | ― |
| ― | Tom Pidcock | 2 | ― | ― |
| ― | Davide Piganzoli | 2 | ― | ― |
| ― | Kévin Vauquelin | 2 | ― | ― |
| ― | Adam Yates | 2 | ― | ― |
| ― | Edward Dunbar | 1 | ― | ★ |
| ― | Lorenzo Fortunato | 1 | ― | ★ |
| ― | Romain Grégoire | 1 | ― | ★ |
| ― | Jai Hindley | 1 | ― | ★ |
| ― | Florian Lipowitz | 1 | ― | ★ |
| ― | Valentin Paret-Peintre | 1 | ― | ★ |
| ― | Wout Poels | 1 | ― | ★ |
| ― | Toms Skujins | 1 | ― | ★ |
| ― | Johannes Staune-Mittet | 1 | ― | ★ |
| ― | Cian Uijtdebroeks | 1 | ― | ★ |
| ― | Mathieu van der Poel | 1 | ― | ★ |
| ― | Filippo Zana | 1 | ― | ★ |
A total of 29 players entered:
| User | Pick | Base | Bonus | Score |
|---|---|---|---|---|
| Sappert | Tadej Pogacar | 0 | 0 | 0 |
| iamczecksy | Tadej Pogacar | 0 | 0 | 0 |
| djordastic | Tadej Pogacar | 0 | 0 | 0 |
| Nussig | Tadej Pogacar | 0 | 0 | 0 |
| Avila99 | Tadej Pogacar | 0 | 0 | 0 |
| Norskov | Mattias Skjelmose | 0 | 0 | 0 |
| listenyall | Mattias Skjelmose | 0 | 0 | 0 |
| beaker15 | Mattias Skjelmose | 0 | 0 | 0 |
| Lyx97 | Mattias Skjelmose | 0 | 0 | 0 |
| alpal2214 | Tom Pidcock | 0 | 0 | 0 |
| yellow52 | Adam Yates | 0 | 0 | 0 |
| OkChipmunk3854 | Tom Pidcock | 0 | 0 | 0 |
| ser-seaworth | Bauke Mollema | 0 | 0 | 0 |
| LynniePinnie67 | Primoz Roglic | 0 | 0 | 0 |
| BSantos57 | Adam Yates | 0 | 0 | 0 |
| ssfoxx27 | Michael Storer | 0 | 0 | 0 |
| LurkasM1 | Primoz Roglic | 0 | 0 | 0 |
| AwakenTheBacon_ | Michael Storer | 0 | 0 | 0 |
| RaylanGivens8 | Bauke Mollema | 0 | 0 | 0 |
| Verlichtingszucht | Cristian Scaroni | 0 | 0 | 0 |
| MrR2D | Ion Izagirre | 0 | 0 | 0 |
| Judas_Bishop | Nicolas Prodhomme | 0 | 0 | 0 |
| IPJBrennan | Isaac del Toro | 0 | 0 | 0 |
| Divergee5 | Egan Bernal | 0 | 0 | 0 |
| BWallis17 | Toms Skujins | 0 | 0 | 0 |
| Redskin44 | Ben Healy | 0 | 0 | 0 |
| Team_Telekom | Remco Evenepoel | 0 | 0 | 0 |
| sharkbait_hahaha | Tiesj Benoot | 0 | 0 | 0 |
| paulindy2000 | Paul Seixas | 0 | 0 | 0 |
A total of 17 riders were picked:
| Rank | Rider | Picks | Base | Bonus |
|---|---|---|---|---|
| _ | Tadej Pogacar | 5 | _ | _ |
| _ | Mattias Skjelmose | 4 | _ | _ |
| _ | Tom Pidcock | 2 | _ | _ |
| _ | Adam Yates | 2 | _ | _ |
| _ | Bauke Mollema | 2 | _ | _ |
| _ | Primoz Roglic | 2 | _ | _ |
| _ | Michael Storer | 2 | _ | _ |
| _ | Cristian Scaroni | 1 | _ | _ |
| _ | Ion Izagirre | 1 | _ | _ |
| _ | Nicolas Prodhomme | 1 | _ | _ |
| _ | Isaac del Toro | 1 | _ | _ |
| _ | Egan Bernal | 1 | _ | _ |
| _ | Toms Skujins | 1 | _ | _ |
| _ | Ben Healy | 1 | _ | _ |
| _ | Remco Evenepoel | 1 | _ | _ |
| _ | Tiesj Benoot | 1 | _ | _ |
| _ | Paul Seixas | 1 | _ | _ |
A total of 29 players entered:
| User | Pick | Base | Bonus | Score |
|---|---|---|---|---|
| Team_Telekom | Remco Evenepoel | 280 | 116 | 396 |
| IPJBrennan | Isaac del Toro | 158 | 104 | 262 |
| paulindy2000 | Paul Seixas | 126 | 96 | 222 |
| Divergee5 | Egan Bernal | 112 | 92 | 204 |
| MrR2D | Ion Izagirre | 70 | 70 | 140 |
| ssfoxx27 | Michael Storer | 105 | 0 | 105 |
| AwakenTheBacon_ | Michael Storer | 105 | 0 | 105 |
| Sappert | Tadej Pogacar | 70 | 0 | 70 |
| iamczecksy | Tadej Pogacar | 70 | 0 | 70 |
| djordastic | Tadej Pogacar | 70 | 0 | 70 |
| Nussig | Tadej Pogacar | 70 | 0 | 70 |
| Avila99 | Tadej Pogacar | 70 | 0 | 70 |
| alpal2214 | Tom Pidcock | 70 | 0 | 70 |
| OkChipmunk3854 | Tom Pidcock | 70 | 0 | 70 |
| yellow52 | Adam Yates | 42 | 0 | 42 |
| BSantos57 | Adam Yates | 42 | 0 | 42 |
| BWallis17 | Toms Skujins | 10 | 10 | 20 |
| LynniePinnie67 | Primoz Roglic | 16 | 0 | 16 |
| LurkasM1 | Primoz Roglic | 16 | 0 | 16 |
| Norskov | Mattias Skjelmose | 0 | 0 | 0 |
| listenyall | Mattias Skjelmose | 0 | 0 | 0 |
| beaker15 | Mattias Skjelmose | 0 | 0 | 0 |
| Lyx97 | Mattias Skjelmose | 0 | 0 | 0 |
| ser-seaworth | Bauke Mollema | 0 | 0 | 0 |
| RaylanGivens8 | Bauke Mollema | 0 | 0 | 0 |
| Verlichtingszucht | Cristian Scaroni | 0 | 0 | 0 |
| Judas_Bishop | Nicolas Prodhomme | 0 | 0 | 0 |
| Redskin44 | Ben Healy | 0 | 0 | 0 |
| sharkbait_hahaha | Tiesj Benoot | 0 | 0 | 0 |
The Top 30 finishers were:
| Rank | Rider | Picks | Base | Bonus |
|---|---|---|---|---|
| 1 | Tadej Pogacar | 5 | 350 | 0 |
| 2 | Remco Evenepoel | 1 | 280 | 116 |
| 3 | Michael Storer | 2 | 210 | 0 |
| 4 | Quinn Simmons | 0 | 0 | 0 |
| 5 | Isaac del Toro | 1 | 158 | 104 |
| 6 | Tom Pidcock | 2 | 140 | 0 |
| 7 | Paul Seixas | 1 | 126 | 96 |
| 8 | Egan Bernal | 1 | 112 | 92 |
| 9 | Jay Vine | 0 | 0 | 0 |
| 10 | Cian Uijtdebroeks | 0 | 0 | 0 |
| 11 | Adam Yates | 2 | 84 | 0 |
| 12 | Lenny Martinez | 0 | 0 | 0 |
| 13 | Ion Izagirre | 1 | 70 | 70 |
| 14 | Ben Tulett | 0 | 0 | 0 |
| 15 | Christian Scaroni | 0 | 0 | 0 |
| 16 | Davide Piganzoli | 0 | 0 | 0 |
| 17 | Oscar Onley | 0 | 0 | 0 |
| 18 | Ben O’Connor | 0 | 0 | 0 |
| 19 | Mikel Landa | 0 | 0 | 0 |
| 20 | Carlos Canal | 0 | 0 | 0 |
| 21 | Michael Matthews | 0 | 0 | 0 |
| 22 | Primoz Roglic | 2 | 32 | 0 |
| 23 | Julian Alaphilippe | 0 | 0 | 0 |
| 24 | Sergio Higuita | 0 | 0 | 0 |
| 25 | Einer Rubio | 0 | 0 | 0 |
| 26 | Sepp Kuss | 0 | 0 | 0 |
| 27 | Marc Hirschi | 0 | 0 | 0 |
| 28 | Toms Skujins | 1 | 10 | 10 |
| 29 | Alex Baudin | 0 | 0 | 0 |
| 30 | Rudy Molard | 0 | 0 | 0 |
A total of 27 players entered:
| User | Pick | Base | Bonus | Score |
|---|---|---|---|---|
| Divergee5 | Danny van Poppel | 60 | 26 | 86 |
| ser-seaworth | Rasmus Tiller | 15 | 12 | 27 |
| alpal2214 | Biniam Girmay | 22 | 0 | 22 |
| beaker15 | Biniam Girmay | 22 | 0 | 22 |
| iamczecksy | Wout van Aert | 18 | 0 | 18 |
| Kryziven | Wout van Aert | 18 | 0 | 18 |
| Verlichtingszucht | Paul Magnier | 15 | 0 | 15 |
| LynniePinnie67 | Paul Magnier | 15 | 0 | 15 |
| paulindy2000 | Paul Magnier | 15 | 0 | 15 |
| BSantos57 | Paul Magnier | 15 | 0 | 15 |
| RaylanGivens8 | Paul Magnier | 15 | 0 | 15 |
| OkChipmunk3854 | Axel Laurance | 10.5 | 0 | 10.5 |
| CudoLanda | Axel Laurance | 10.5 | 0 | 10.5 |
| MrR2D | Marc Hirschi | 4 | 4 | 8 |
| AwakenTheBacon_ | Alexander Kristoff | 0 | 0 | 0 |
| BWallis17 | Jordi Meeus | 0 | 0 | 0 |
| TheSlyBean | Kaden Groves | 0 | 0 | 0 |
| Team_Telekom | Jonathan Milan | 0 | 0 | 0 |
| Nussig | Jonathan Milan | 0 | 0 | 0 |
| edlll91 | Sebastian Molano | 0 | 0 | 0 |
| LurkasM1 | Jordi Meeus | 0 | 0 | 0 |
| Realistic_Heaven | Arnaud Démare | 0 | 0 | 0 |
| Redskin44 | Pascal Ackermann | 0 | 0 | 0 |
| wonderbeann | Sebastian Molano | 0 | 0 | 0 |
| isaiahHat | Kaden Groves | 0 | 0 | 0 |
| Avila99 | Jasper Stuyven | 0 | 0 | 0 |
| Eyeconoclastic | Cees Bol | 0 | 0 | 0 |
The Top 30 finishers were:
| Rank | Rider | Picks | Base | Bonus |
|---|---|---|---|---|
| 1 | Rory Townsend | 0 | 0 | 0 |
| 2 | Arnaud De Lie | 0 | 0 | 0 |
| 3 | Paul Magnier | 5 | 75 | 0 |
| 4 | Jasper Philipsen | 0 | 0 | 0 |
| 5 | Danny van Poppel | 1 | 60 | 26 |
| 6 | Fred Wright | 0 | 0 | 0 |
| 7 | António Morgado | 0 | 0 | 0 |
| 8 | Biniam Girmay | 2 | 44 | 0 |
| 9 | Matis Louvel | 0 | 0 | 0 |
| 10 | Wout van Aert | 2 | 36 | 0 |
| 11 | Alex Aranburu | 0 | 0 | 0 |
| 12 | Paul Penhoët | 0 | 0 | 0 |
| 13 | Tobias Lund Andresen | 0 | 0 | 0 |
| 14 | Bryan Coquard | 0 | 0 | 0 |
| 15 | Fabio Christen | 0 | 0 | 0 |
| 16 | Axel Laurance | 2 | 21 | 0 |
| 17 | Marius Mayrhofer | 0 | 0 | 0 |
| 18 | Pierre Gautherat | 0 | 0 | 0 |
| 19 | Rasmus Tiller | 1 | 15 | 12 |
| 20 | Mike Teunissen | 0 | 0 | 0 |
| 21 | Jon Barrenetxea | 0 | 0 | 0 |
| 22 | Guillaume Boivin | 0 | 0 | 0 |
| 23 | Riley Sheehan | 0 | 0 | 0 |
| 24 | Natnael Tesfazion | 0 | 0 | 0 |
| 25 | Ruben Guerreiro | 0 | 0 | 0 |
| 26 | Marijn van den Berg | 0 | 0 | 0 |
| 27 | Marc Hirschi | 1 | 4 | 4 |
| 28 | Jonas Abrahamsen | 0 | 0 | 0 |
| 29 | Jan Christen | 0 | 0 | 0 |
| 30 | Jonas Rutsch | 0 | 0 | 0 |
A total of 22 players entered:
| User | Pick | Base | Bonus | Score |
|---|---|---|---|---|
| Realistic_Heaven | Jørgen Nordhagen | 90 | 52 | 142 |
| andytheciderman | Lukas Nerurkar | 52 | 42 | 94 |
| paulindy2000 | Rémy Rochas | 40 | 36 | 76 |
| Divergee5 | Frank van den Broek | 28 | 28 | 56 |
| MrR2D | Cian Uijtdebroeks | 20 | 0 | 20 |
| Team_Telekom | Cian Uijtdebroeks | 20 | 0 | 20 |
| RaylanGivens8 | Cian Uijtdebroeks | 20 | 0 | 20 |
| ssfoxx27 | Cian Uijtdebroeks | 20 | 0 | 20 |
| ser-seaworth | Alexander Hajek | 6 | 6 | 12 |
| Avila99 | Jan Christen | 6.5 | 0 | 6.5 |
| BWallis17 | Jan Christen | 6.5 | 0 | 6.5 |
| isaiahHat | Jan Christen | 6.5 | 0 | 6.5 |
| BSantos57 | Jan Christen | 6.5 | 0 | 6.5 |
| Lyx97 | Mattias Skjelmose | 0 | 0 | 0 |
| Eyeconoclastic | Emanuel Buchmann | 0 | 0 | 0 |
| Sappert | Mattias Skjelmose | 0 | 0 | 0 |
| beaker15 | Ewen Costiou | 0 | 0 | 0 |
| alpal2214 | Roger Adriá | 0 | 0 | 0 |
| LurkasM1 | Roger Adriá | 0 | 0 | 0 |
| LynniePinnie67 | Jesus Herrada | 0 | 0 | 0 |
| Norskov | Aurélien Paret-Peintre | 0 | 0 | 0 |
| Nussig | Juan Ayuso | 0 | 0 | 0 |
The Top 30 finishers were:
| Rank | Rider | Picks | Base | Bonus |
|---|---|---|---|---|
| 1 | Paul Double | 0 | 0 | 0 |
| 2 | Victor Lafay | 0 | 0 | 0 |
| 3 | Jhonatan Narvaez | 0 | 0 | 0 |
| 4 | Mikkel Honore | 0 | 0 | 0 |
| 5 | Jørgen Nordhagen | 1 | 90 | 52 |
| 6 | Cian Uijtdebroeks | 4 | 80 | 0 |
| 7 | Kamiel Bonneu | 0 | 0 | 0 |
| 8 | Pello Bilbao | 0 | 0 | 0 |
| 9 | Ben Zwiehoff | 0 | 0 | 0 |
| 10 | Lukas Nerurkar | 1 | 52 | 42 |
| 11 | Tao Geoghegan Hart | 0 | 0 | 0 |
| 12 | Antoine Huby | 0 | 0 | 0 |
| 13 | Rémy Rochas | 1 | 40 | 36 |
| 14 | Gregor Mühlberger | 0 | 0 | 0 |
| 15 | Lars Craps | 0 | 0 | 0 |
| 16 | Alan Hatherly | 0 | 0 | 0 |
| 17 | Frank van den Broek | 1 | 28 | 28 |
| 18 | Jan Christen | 4 | 26 | 0 |
| 19 | Sylvain Moniquet | 0 | 0 | 0 |
| 20 | Eduardo Sepulveda | 0 | 0 | 0 |
| 21 | Enzo Paleni | 0 | 0 | 0 |
| 22 | Louis Rouland | 0 | 0 | 0 |
| 23 | AJ August | 0 | 0 | 0 |
| 24 | Nans Peters | 0 | 0 | 0 |
| 25 | Sergio Higuita | 0 | 0 | 0 |
| 26 | Thomas Gloag | 0 | 0 | 0 |
| 27 | Andrea Raccagni Noviero | 0 | 0 | 0 |
| 28 | Alexander Hajek | 1 | 6 | 6 |
| 29 | Reuben Thompson | 0 | 0 | 0 |
| 30 | Peter Øxenberg | 0 | 0 | 0 |
A total of 22 players entered:
| User | Pick | Base | Bonus | Score |
|---|---|---|---|---|
| Redskin44 | Rick Pluimers | 54 | 25 | 79 |
| Norskov | Tobias Lund Andresen | 39 | 22 | 61 |
| andytheciderman | Corbin Strong | 30 | 19 | 49 |
| paulindy2000 | Paul Magnier | 34 | 0 | 34 |
| isaiahHat | Paul Magnier | 34 | 0 | 34 |
| AwakenTheBacon_ | Simone Velasco | 19 | 14 | 33 |
| Realistic_Heaven | Romain Grégoire | 15 | 12 | 27 |
| alpal2214 | Vincenzo Albanese | 11 | 10 | 21 |
| MrR2D | Dorian Godon | 16 | 0 | 16 |
| ser-seaworth | Dorian Godon | 16 | 0 | 16 |
| Eyeconoclastic | Dorian Godon | 16 | 0 | 16 |
| Team_Telekom | Axel Laurance | 7 | 7 | 14 |
| OkChipmunk3854 | Jan Christen | 0 | 0 | 0 |
| DerpTrain | Thibau Nys | 0 | 0 | 0 |
| LynniePinnie67 | Thibau Nys | 0 | 0 | 0 |
| edlll91 | Arnaud De Lie | 0 | 0 | 0 |
| BSantos57 | Arnaud De Lie | 0 | 0 | 0 |
| RaylanGivens8 | Maxim Van Gils | 0 | 0 | 0 |
| wonderbeann | Kaden Groves | 0 | 0 | 0 |
| Divergee5 | Thibau Nys | 0 | 0 | 0 |
| CudoLanda | Paul Lapeira | 0 | 0 | 0 |
| Avila99 | Tibor Del Grosso | 0 | 0 | 0 |
The Top 30 finishers were:
| Rank | Rider | Picks | Base | Bonus |
|---|---|---|---|---|
| 1 | Arnau De Lied | 0 | 0 | 0 |
| 2 | Emilien Jeannière | 0 | 0 | 0 |
| 3 | Olav Kooij | 0 | 0 | 0 |
| 4 | Paul Magnier | 2 | 68 | 0 |
| 5 | Biniam Girmay | 0 | 0 | 0 |
| 6 | Rick Pluimers | 1 | 54 | 25 |
| 7 | Dorian Godon | 3 | 48 | 0 |
| 8 | Michael Matthews | 0 | 0 | 0 |
| 9 | Tobias Lund Andresen | 1 | 39 | 22 |
| 10 | Jasper Stuyven | 0 | 0 | 0 |
| 11 | Sandy Dujardin | 0 | 0 | 0 |
| 12 | Corbin Strong | 1 | 30 | 19 |
| 13 | Anthony Turgis | 0 | 0 | 0 |
| 14 | Filippo Magli | 0 | 0 | 0 |
| 15 | Krists Neilands | 0 | 0 | 0 |
| 16 | Clément Venturini | 0 | 0 | 0 |
| 17 | Simone Velasco | 1 | 19 | 14 |
| 18 | Xandro Meurisse | 0 | 0 | 0 |
| 19 | Romain Grégoire | 1 | 15 | 12 |
| 20 | Mick van Dijke | 0 | 0 | 0 |
| 21 | Vincenzo Albanese | 1 | 11 | 10 |
| 22 | Fred Wright | 0 | 0 | 0 |
| 23 | Paul Penhoët | 0 | 0 | 0 |
| 24 | Axel Laurance | 1 | 7 | 7 |
| 25 | Alex Aranburu | 0 | 0 | 0 |
| 26 | JaCopo Mosca | 0 | 0 | 0 |
| 27 | Jenno Berckmoes | 0 | 0 | 0 |
| 28 | Xabier Berasategi | 0 | 0 | 0 |
| 29 | Matej Mohoric | 0 | 0 | 0 |
| 30 | Pello Bilbao | 0 | 0 | 0 |
A total of 47 players entered:
| User | Pick | Base | Bonus | Score |
|---|---|---|---|---|
| yellow52 | Thomas Pidcock | 300.0 | 140.0 | 440.0 |
| ser-seaworth | Sepp Kuss | 180.0 | 120.0 | 300.0 |
| MrR2D | Matteo Jorgenson | 130.0 | 105.0 | 235.0 |
| Divergee5 | Junior Lecerf | 120.0 | 100.0 | 220.0 |
| djordastic | Jonas Vingegaard | 125.0 | 0.0 | 125.0 |
| iamczecksy | Jonas Vingegaard | 125.0 | 0.0 | 125.0 |
| Nussig | Jonas Vingegaard | 125.0 | 0.0 | 125.0 |
| TheSlyBean | Jonas Vingegaard | 125.0 | 0.0 | 125.0 |
| andytheciderman | Giulio Pellizzari | 100.0 | 0.0 | 100.0 |
| wildcat25burner | Giulio Pellizzari | 100.0 | 0.0 | 100.0 |
| Realistic_Heaven | Ben Tulett | 35.0 | 35.0 | 70.0 |
| alpal2214 | Jai Hindley | 62.5 | 0.0 | 62.5 |
| LurkasM1 | Jai Hindley | 62.5 | 0.0 | 62.5 |
| OkChipmunk3854 | Jai Hindley | 62.5 | 0.0 | 62.5 |
| Salty-Level | Jai Hindley | 62.5 | 0.0 | 62.5 |
| RaylanGivens8 | Mikel Landa | 20.0 | 20.0 | 40.0 |
| Avila99 | Egan Bernal | 35.0 | 0.0 | 35.0 |
| ssfoxx27 | Egan Bernal | 35.0 | 0.0 | 35.0 |
| AwakenTheBacon_ | Damien Howson | 15.0 | 15.0 | 30.0 |
| BSantos57 | Felix Gall | 26.7 | 0.0 | 26.7 |
| burden321 | Felix Gall | 26.7 | 0.0 | 26.7 |
| LynniePinnie67 | Felix Gall | 26.7 | 0.0 | 26.7 |
| Team_Telekom | Felix Gall | 26.7 | 0.0 | 26.7 |
| ULhothot | Felix Gall | 26.7 | 0.0 | 26.7 |
| Verlichtingszucht | Felix Gall | 26.7 | 0.0 | 26.7 |
| beaker15 | Giulio Ciccone | 16.3 | 0.0 | 16.3 |
| BWallis17 | Giulio Ciccone | 16.3 | 0.0 | 16.3 |
| listenyall | Giulio Ciccone | 16.3 | 0.0 | 16.3 |
| Zeckesan | Giulio Ciccone | 16.3 | 0.0 | 16.3 |
| CudoLanda | Juan Ayuso | 0.0 | 0.0 | 0.0 |
| DerpTrain | David Gaudu | 0.0 | 0.0 | 0.0 |
| edlll91 | Juan Ayuso | 0.0 | 0.0 | 0.0 |
| Eyeconoclastic | Pablo Castrillo | 0.0 | 0.0 | 0.0 |
| flemingo24 | Sergio Higuita | 0.0 | 0.0 | 0.0 |
| Funny-Substance5576 | Edward Dunbar | 0.0 | 0.0 | 0.0 |
| isaiahHat | Guillaume Martin-Guyonnet | 0.0 | 0.0 | 0.0 |
| Judas_Bishop | Johannes Staune-Mittet | 0.0 | 0.0 | 0.0 |
| Jumpy-Cricket4744 | Ben O'Connor | 0.0 | 0.0 | 0.0 |
| Kryziven | Juan Ayuso | 0.0 | 0.0 | 0.0 |
| Lyx97 | Antonio Tiberi | 0.0 | 0.0 | 0.0 |
| paulindy2000 | David Gaudu | 0.0 | 0.0 | 0.0 |
| PleasureCircuit | Joao Almeida | 0.0 | 0.0 | 0.0 |
| Redskin44 | Iván García Cortina | 0.0 | 0.0 | 0.0 |
| Sappert | Pablo Castrillo | 0.0 | 0.0 | 0.0 |
| sharkbait_hahaha | Guillaume Martin-Guyonnet | 0.0 | 0.0 | 0.0 |
| Solesticio | Joao Almeida | 0.0 | 0.0 | 0.0 |
| wonderbeann | Sergio Higuita | 0.0 | 0.0 | 0.0 |
The Top 30 finishers were:
| Rank | Rider | Picks | Base | Bonus |
|---|---|---|---|---|
| 1 | Jonas Vingegaard | 4 | 500 | 0 |
| 2 | João Almeida | 0 | 0 | 0 |
| 3 | Thomas Pidcock | 0 | 0 | 0 |
| 4 | Jai Hindley | 4 | 250 | 0 |
| 5 | Matthew Riccitello | 0 | 0 | 0 |
| 6 | Giulio Pellizzari | 2 | 200 | 0 |
| 7 | Sepp Kuss | 1 | 180 | 120 |
| 8 | Felix Gall | 6 | 160 | 0 |
| 9 | Torstein Træen | 0 | 0 | 0 |
| 10 | Matteo Jorgenson | 1 | 130 | 105 |
| 11 | Junior Lecerf | 1 | 120 | 100 |
| 12 | Harold Tejada | 0 | 0 | 0 |
| 13 | Abel Balderstone | 0 | 0 | 0 |
| 14 | Jaume Guardeño | 0 | 0 | 0 |
| 15 | Santiago Buitrago | 0 | 0 | 0 |
| 16 | Louis Meintjes | 0 | 0 | 0 |
| 17 | Egan Bernal | 2 | 70 | 0 |
| 18 | Giulio Ciccone | 4 | 65 | 0 |
| 19 | Bruno Armirail | 0 | 0 | 0 |
| 20 | Kevin Vermaerke | 0 | 0 | 0 |
| 21 | Eddie Dunbar | 0 | 0 | 0 |
| 22 | Harold Martín López | 0 | 0 | 0 |
| 23 | Rudy Molard | 0 | 0 | 0 |
| 24 | Ben Tulett | 1 | 35 | 35 |
| 25 | Felix Großschartner | 0 | 0 | 0 |
| 26 | Marc Soler | 0 | 0 | 0 |
| 27 | Mikel Landa | 1 | 20 | 20 |
| 28 | Damien Howson | 1 | 15 | 15 |
| 29 | Finlay Pickering | 0 | 0 | 0 |
| 30 | Jay Vine | 0 | 0 | 0 |
A total of 28 players entered:
| User | Pick | Base | Bonus | Score |
|---|---|---|---|---|
| alpal2214 | Alberto Bettiol | 36 | 21 | 57 |
| MrR2D | Neilson Powless | 34 | 0 | 34 |
| Divergee5 | Neilson Powless | 34 | 0 | 34 |
| isaiahHat | Oscar Onley | 15 | 12 | 27 |
| AwakenTheBacon_ | Tiesj Benoot | 24 | 0 | 24 |
| BSantos57 | Tiesj Benoot | 24 | 0 | 24 |
| Team_Telekom | Mattias Skjelmose | 9.5 | 0 | 9.5 |
| Norskov | Mattias Skjelmose | 9.5 | 0 | 9.5 |
| yellow52 | Pello Bilbao | 1.5 | 0 | 1.5 |
| ser-seaworth | Pello Bilbao | 1.5 | 0 | 1.5 |
| wonderbeann | Arnaud De Lie | 1 | 0 | 1 |
| Lyx97 | Arnaud De Lie | 1 | 0 | 1 |
| Verlichtingszucht | Florian Lipowitz | 0 | 0 | 0 |
| andytheciderman | Dorian Godon | 0 | 0 | 0 |
| BWallis17 | Afonso Eulalio | 0 | 0 | 0 |
| Sappert | Paul Lapeira | 0 | 0 | 0 |
| Judas_Bishop | Valentin Paret-Peintre | 0 | 0 | 0 |
| listenyall | Wout van Aert | 0 | 0 | 0 |
| DerpTrain | Tadej Pogacar | 0 | 0 | 0 |
| LynniePinnie67 | Julian Alaphilippe | 0 | 0 | 0 |
| Nussig | Tadej Pogacar | 0 | 0 | 0 |
| paulindy2000 | Julian Alaphilippe | 0 | 0 | 0 |
| Funny-Substance5576 | Paul Lapeira | 0 | 0 | 0 |
| LurkasM1 | Florian Lipowitz | 0 | 0 | 0 |
| RaylanGivens8 | Afonso Eulalio | 0 | 0 | 0 |
| djordastic | Tadej Pogacar | 0 | 0 | 0 |
| ssfoxx27 | Tadej Pogacar | 0 | 0 | 0 |
| Avila99 | Jhonatan Narvaez | 0 | 0 | 0 |
The Top 30 finishers were:
| Rank | Rider | Picks | Base | Bonus |
|---|---|---|---|---|
| 1 | Brandon McNulty | 0 | 0 | 0 |
| 2 | Tadej Pogačar | 0 | 0 | 0 |
| 3 | Quinn Simmons | 0 | 0 | 0 |
| 4 | Neilson Powless | 2 | 68 | 0 |
| 5 | Adam Yates | 0 | 0 | 0 |
| 6 | Louis Barré | 0 | 0 | 0 |
| 7 | Tiesj Benoot | 2 | 48 | 0 |
| 8 | Alex Aranburu | 0 | 0 | 0 |
| 9 | Corbin Strong | 0 | 0 | 0 |
| 10 | Alberto Bettiol | 1 | 36 | 21 |
| 11 | Jhonatan Narváez | 0 | 0 | 0 |
| 12 | Quinten Hermans | 0 | 0 | 0 |
| 13 | Ion Izagirre | 0 | 0 | 0 |
| 14 | Filippo Zana | 0 | 0 | 0 |
| 15 | Valentin Madouas | 0 | 0 | 0 |
| 16 | Ewen Costiou | 0 | 0 | 0 |
| 17 | Mattias Skjelmose | 2 | 19 | 0 |
| 18 | Alex Baudin | 0 | 0 | 0 |
| 19 | Oscar Onley | 1 | 15 | 12 |
| 20 | Pavel Sivakov | 0 | 0 | 0 |
| 21 | Clément Berthet | 0 | 0 | 0 |
| 22 | Mikkel Frølich Honoré | 0 | 0 | 0 |
| 23 | Riley Sheehan | 0 | 0 | 0 |
| 24 | Mauro Schmid | 0 | 0 | 0 |
| 25 | Frank van den Broek | 0 | 0 | 0 |
| 26 | Anthon Charmig | 0 | 0 | 0 |
| 27 | Alexander Kamp | 0 | 0 | 0 |
| 28 | Pello Bilbao | 2 | 3 | 0 |
| 29 | Arnaud De Lie | 2 | 2 | 0 |
| 30 | Jonas Abrahamsen | 0 | 0 | 0 |
A total of 24 players entered:
| User | Pick | Base | Bonus | Score |
|---|---|---|---|---|
| LynniePinnie67 | Julian Alaphilippe | 120 | 30 | 150 |
| Sappert | Alberto Bettiol | 75 | 28 | 103 |
| Norskov | Mattias Skjelmose | 68 | 27 | 95 |
| Team_Telekom | Arnaud De Lie | 44 | 23 | 67 |
| BWallis17 | Michael Matthews | 39 | 22 | 61 |
| MrR2D | Dorian Godon | 33 | 20 | 53 |
| OkChipmunk3854 | Wout van Aert | 25 | 17 | 42 |
| paulindy2000 | Valentin Madouas | 19 | 14 | 33 |
| ser-seaworth | Biniam Girmay | 4 | 0 | 4 |
| Lyx97 | Biniam Girmay | 4 | 0 | 4 |
| yellow52 | Neilson Powless | 3 | 0 | 3 |
| RaylanGivens8 | Neilson Powless | 3 | 0 | 3 |
| Verlichtingszucht | Tobias Lund Andresen | 0 | 0 | 0 |
| andytheciderman | Afonso Eulalio | 0 | 0 | 0 |
| AwakenTheBacon_ | Roger Adriá | 0 | 0 | 0 |
| Judas_Bishop | Roger Adriá | 0 | 0 | 0 |
| listenyall | Alex Baudin | 0 | 0 | 0 |
| WiscMIIe | Jhonatan Narvaez | 0 | 0 | 0 |
| BSantos57 | Axel Laurance | 0 | 0 | 0 |
| ssfoxx27 | Jonas Abrahamsen | 0 | 0 | 0 |
| alpal2214 | Oscar Onley | 0 | 0 | 0 |
| Divergee5 | Luke Lamperti | 0 | 0 | 0 |
| isaiahHat | Alex Baudin | 0 | 0 | 0 |
| Avila99 | Jhonatan Narvaez | 0 | 0 | 0 |
The Top 30 finishers were:
| Rank | Rider | Picks | Base | Bonus |
|---|---|---|---|---|
| 1 | Julian Alaphilippe | 1 | 120 | 30 |
| 2 | Pavel Sivakov | 0 | 0 | 0 |
| 3 | Alberto Bettiol | 1 | 75 | 28 |
| 4 | Mattias Skjelmose | 1 | 68 | 27 |
| 5 | Matej Mohorič | 0 | 0 | 0 |
| 6 | Quinten Hermans | 0 | 0 | 0 |
| 7 | Anthon Charmig | 0 | 0 | 0 |
| 8 | Arnaud De Lie | 1 | 44 | 23 |
| 9 | Michael Matthews | 1 | 39 | 22 |
| 10 | Corbin Strong | 0 | 0 | 0 |
| 11 | Dorian Godon | 1 | 33 | 20 |
| 12 | Paul Lapeira | 0 | 0 | 0 |
| 13 | Gianni Vermeersch | 0 | 0 | 0 |
| 14 | Wout van Aert | 1 | 25 | 17 |
| 15 | Fred Wright | 0 | 0 | 0 |
| 16 | Tiesj Benoot | 0 | 0 | 0 |
| 17 | Valentin Madouas | 1 | 19 | 14 |
| 18 | Edoardo Zambanini | 0 | 0 | 0 |
| 19 | Simone Velasco | 0 | 0 | 0 |
| 20 | Jhonatan Narváez | 0 | 0 | 0 |
| 21 | Roger Adrià | 0 | 0 | 0 |
| 22 | Pello Bilbao | 0 | 0 | 0 |
| 23 | Biniam Girmay | 2 | 8 | 0 |
| 24 | Alex Aranburu | 0 | 0 | 0 |
| 25 | Neilson Powless | 2 | 6 | 0 |
| 26 | Jenno Berckmoes | 0 | 0 | 0 |
| 27 | Kevin Geniets | 0 | 0 | 0 |
| 28 | Adam Yates | 0 | 0 | 0 |
| 29 | Tadej Pogačar | 0 | 0 | 0 |
| 30 | Mathis Le Berre | 0 | 0 | 0 |
A total of 32 players entered:
| User | Pick | Base | Bonus | Score |
|---|---|---|---|---|
| TheSlyBean | Tim Wellens | 120 | 56 | 176 |
| Avila99 | Fred Wright | 100 | 54 | 154 |
| iamczecksy | Mathieu van der Poel | 53.3 | 0 | 53.3 |
| Lyx97 | Mathieu van der Poel | 53.3 | 0 | 53.3 |
| beaker15 | Mathieu van der Poel | 53.3 | 0 | 53.3 |
| Realistic_Heaven | Paul Penhoët | 12 | 12 | 24 |
| Sappert | Alberto Bettiol | 21.3 | 0 | 21.3 |
| RaylanGivens8 | Alberto Bettiol | 21.3 | 0 | 21.3 |
| Eyeconoclastic | Alberto Bettiol | 21.3 | 0 | 21.3 |
| Judas_Bishop | Tibor Del Grosso | 19.3 | 0 | 19.3 |
| Team_Telekom | Tibor Del Grosso | 19.3 | 0 | 19.3 |
| Divergee5 | Tibor Del Grosso | 19.3 | 0 | 19.3 |
| AwakenTheBacon_ | Florian Vermeersch | 13.3 | 0 | 13.3 |
| MrR2D | Florian Vermeersch | 13.3 | 0 | 13.3 |
| Kryziven | Florian Vermeersch | 13.3 | 0 | 13.3 |
| paulindy2000 | Paul Magnier | 12 | 0 | 12 |
| isaiahHat | Paul Magnier | 12 | 0 | 12 |
| Verlichtingszucht | Toms Skujins | 0 | 0 | 0 |
| yellow52 | Ben Turner | 0 | 0 | 0 |
| andytheciderman | Bastien Tronchon | 0 | 0 | 0 |
| BWallis17 | Bastien Tronchon | 0 | 0 | 0 |
| listenyall | Toms Skujins | 0 | 0 | 0 |
| DerpTrain | Ben Turner | 0 | 0 | 0 |
| ser-seaworth | Bastien Tronchon | 0 | 0 | 0 |
| LynniePinnie67 | Thibau Nys | 0 | 0 | 0 |
| edlll91 | António Morgado | 0 | 0 | 0 |
| BSantos57 | António Morgado | 0 | 0 | 0 |
| LurkasM1 | Maxim Van Gils | 0 | 0 | 0 |
| ssfoxx27 | Lukas Kubis | 0 | 0 | 0 |
| alpal2214 | Matej Mohoric | 0 | 0 | 0 |
| wonderbeann | Fernando Gaviria | 0 | 0 | 0 |
| CudoLanda | Thibau Nys | 0 | 0 | 0 |
| Vragen aan ChatGPT | ||||
| ChatGP |
The Top 30 finishers were:
| Rank | Rider | Picks | Base | Bonus |
|---|---|---|---|---|
| 1 | Arnaud De Lie | 0 | 0 | 0 |
| 2 | Mathieu van der Poel | 3 | 160 | 0 |
| 3 | Tim Wellens | 1 | 120 | 56 |
| 4 | Fred Wright | 1 | 100 | 54 |
| 5 | Olav Kooij | 0 | 0 | 0 |
| 6 | Pavel Bittner | 0 | 0 | 0 |
| 7 | Dries De Bondt | 0 | 0 | 0 |
| 8 | Alberto Bettiol | 3 | 64 | 0 |
| 9 | Tibor Del Grosso | 3 | 58 | 0 |
| 10 | Toms Skujiņš | 0 | 0 | 0 |
| 11 | Valentin Madouas | 0 | 0 | 0 |
| 12 | Oliver Naesen | 0 | 0 | 0 |
| 13 | Florian Vermeersch | 3 | 40 | 0 |
| 14 | Davide Ballerini | 0 | 0 | 0 |
| 15 | Mike Teunissen | 0 | 0 | 0 |
| 16 | Jasper Stuyven | 0 | 0 | 0 |
| 17 | Axel Laurance | 0 | 0 | 0 |
| 18 | Roger Adrià | 0 | 0 | 0 |
| 19 | Paul Magnier | 2 | 24 | 0 |
| 20 | Robert Donaldson | 0 | 0 | 0 |
| 21 | Lorenzo Milesi | 0 | 0 | 0 |
| 22 | Sean Flynn | 0 | 0 | 0 |
| 23 | Axel Huens | 0 | 0 | 0 |
| 24 | Stan Dewulf | 0 | 0 | 0 |
| 25 | Paul Penhoët | 1 | 12 | 12 |
| 26 | Pierre Gautherat | 0 | 0 | 0 |
| 27 | Filip Maciejuk | 0 | 0 | 0 |
| 28 | Tomáš Kopecký | 0 | 0 | 0 |
| 29 | Biniam Girmay | 0 | 0 | 0 |
| 30 | Mathias Vacek | 0 | 0 | 0 |
A total of 29 players entered:
| User | Pick | Base | Bonus | Score |
|---|---|---|---|---|
| ser-seaworth | Luke Plapp | 65 | 36 | 101 |
| ssfoxx27 | Iván Romeo | 43 | 30 | 73 |
| yellow52 | Matteo Sobrero | 36 | 27 | 63 |
| AwakenTheBacon_ | Ilan Van Wilder | 54 | 0 | 54 |
| RaylanGivens8 | Ilan Van Wilder | 54 | 0 | 54 |
| Avila99 | Mattia Cattaneo | 29 | 24 | 53 |
| Divergee5 | Tadej Pogačar | 45 | 0 | 45 |
| Nussig | Tadej Pogačar | 45 | 0 | 45 |
| Norskov | Raúl García Pierna | 23 | 20 | 43 |
| pickledip | Isaac Del Toro | 40.5 | 0 | 40.5 |
| isaiahHat | Isaac Del Toro | 40.5 | 0 | 40.5 |
| andytheciderman | Jay Vine | 36 | 0 | 36 |
| listenyall | Jay Vine | 36 | 0 | 36 |
| edlll91 | Remco Evenepoel | 36 | 0 | 36 |
| Judas_Bishop | Remco Evenepoel | 36 | 0 | 36 |
| BSantos57 | Remco Evenepoel | 36 | 0 | 36 |
| Team_Telekom | Remco Evenepoel | 36 | 0 | 36 |
| wonderbeann | Jay Vine | 36 | 0 | 36 |
| djordastic | Remco Evenepoel | 36 | 0 | 36 |
| CudoLanda | Jay Vine | 36 | 0 | 36 |
| iamczecksy | Will Barta | 13 | 11 | 24 |
| Verlichtingszucht | Bruno Armirail | 19.3 | 0 | 19.3 |
| BWallis17 | Bruno Armirail | 19.3 | 0 | 19. |
| paulindy2000 | Bruno Armirail | 19.3 | 0 | 19.3 |
| WiscMIIe | Thymen Arensman | 17.3 | 0 | 17.3 |
| LynniePinnie67 | Thymen Arensman | 17.3 | 0 | 17.3 |
| LurkasM1 | Thymen Arensman | 17.3 | 0 | 17.3 |
| Sappert | Ryan Mullen | 9 | 8 | 17 |
| sharkbait_hahaha | Yaya Diallo | 0 | 0 | 0 |
The Top 30 finishers were:
| Rank | Rider | Picks | Base | Bonus |
|---|---|---|---|---|
| 1 | Remco Evenepoel | 5 | 180 | 0 |
| 2 | Jay Vine | 4 | 144 | 0 |
| 3 | Ilan Van Wilder | 2 | 108 | 0 |
| 4 | Tadej Pogačar | 2 | 90 | 0 |
| 5 | Isaac del Toro | 2 | 81 | 0 |
| 6 | Andreas Leknessund | 0 | 0 | 0 |
| 7 | Luke Plapp | 1 | 65 | 36 |
| 8 | Bruno Armirail | 3 | 58 | 0 |
| 9 | Thymen Arensman | 3 | 52 | 0 |
| 10 | Stefan Küng | 0 | 0 | 0 |
| 11 | Iván Romeo | 1 | 43 | 30 |
| 12 | Michael Leonard | 0 | 0 | 0 |
| 13 | Matteo Sobrero | 1 | 36 | 27 |
| 14 | Walter Vargas | 0 | 0 | 0 |
| 15 | Mattia Cattaneo | 1 | 29 | 24 |
| 16 | Paul Seixas | 0 | 0 | 0 |
| 17 | Miguel Heidemann | 0 | 0 | 0 |
| 18 | Raúl García Pierna | 1 | 23 | 20 |
| 19 | Florian Vermeersch | 0 | 0 | 0 |
| 20 | Byron Munton | 0 | 0 | 0 |
| 21 | Rein Taaramäe | 0 | 0 | 0 |
| 22 | Artem Nych | 0 | 0 | 0 |
| 23 | Darren Rafferty | 0 | 0 | 0 |
| 24 | Will Barta | 1 | 13 | 11 |
| 25 | Shemu Nsengiyumva | 0 | 0 | 0 |
| 26 | Ryan Mullen | 1 | 9 | 8 |
| 27 | Brandon Downes | 0 | 0 | 0 |
| 28 | Laurent Gervais | 0 | 0 | 0 |
| 29 | Mauro Schmid | 0 | 0 | 0 |
| 30 | Haoyu Su | 0 | 0 | 0 |
A total of 31 players entered:
| User | Pick | Base | Bonus | Score |
|---|---|---|---|---|
| AwakenTheBacon_ | Toms Skujiņš | 158 | 104 | 262 |
| BSantos57 | Tadej Pogačar | 175 | 0 | 175 |
| Nussig | Tadej Pogačar | 175 | 0 | 175 |
| Avila99 | Primož Roglič | 84 | 80 | 164 |
| Team_Telekom | Remco Evenepoel | 140 | 0 | 140 |
| ser-seaworth | Remco Evenepoel | 140 | 0 | 140 |
| RaylanGivens8 | Bauke Mollema | 35 | 35 | 70 |
| Divergee5 | Isaac Del Toro | 63 | 0 | 63 |
| isaiahHat | Isaac Del Toro | 63 | 0 | 63 |
| andytheciderman | Ben Healy | 52.5 | 0 | 52.5 |
| wonderbeann | Ben Healy | 52.5 | 0 | 52.5 |
| LynniePinnie67 | Ben Healy | 52.5 | 0 | 52.5 |
| Eyeconoclastic | Ben Healy | 52.5 | 0 | 52.5 |
| yellow52 | Giulio Ciccone | 46.6 | 0 | 46.6 |
| BWallis17 | Giulio Ciccone | 46.6 | 0 | 46.6 |
| Judas_Bishop | Giulio Ciccone | 46.6 | 0 | 46.6 |
| OkChipmunk3854 | Thomas Pidcock | 45.5 | 0 | 45.5 |
| djordastic | Thomas Pidcock | 45.5 | 0 | 45.5 |
| listenyall | Mattias Skjelmose | 43.7 | 0 | 43.7 |
| Norskov | Mattias Skjelmose | 43.7 | 0 | 43.7 |
| iamczecksy | Mattias Skjelmose | 43.7 | 0 | 43.7 |
| alpal2214 | Mattias Skjelmose | 43.7 | 0 | 43.7 |
| Verlichtingszucht | Ilan Van Wilder | 0 | 0 | 0 |
| ssfoxx27 | Richard Carapaz | 0 | 0 | 0 |
| Sappert | Richard Carapaz | 0 | 0 | 0 |
| Lyx97 | Richard Carapaz | 0 | 0 | 0 |
| MrR2D | Oscar Onley | 0 | 0 | 0 |
| DerpTrain | Louis Barré | 0 | 0 | 0 |
| LurkasM1 | Georg Zimmermann | 0 | 0 | 0 |
| pickledip | Julian Alaphilippe | 0 | 0 | 0 |
| paulindy2000 | Valentin Madouas | 0 | 0 | 0 |
The Top 30 finishers were:
| Rank | Rider | Picks | Base | Bonus |
|---|---|---|---|---|
| 1 | Tadej Pogačar | 2 | 350 | 0 |
| 2 | Remco Evenepoel | 2 | 280 | 0 |
| 3 | Ben Healy | 4 | 210 | 0 |
| 4 | Mattias Skjelmose | 4 | 175 | 0 |
| 5 | Toms Skujiņš | 1 | 158 | 104 |
| 6 | Giulio Ciccone | 3 | 140 | 0 |
| 7 | Isaac del Toro | 2 | 126 | 0 |
| 8 | Juan Ayuso | 0 | 0 | 0 |
| 9 | Afonso Eulálio | 0 | 0 | 0 |
| 10 | Thomas Pidcock | 2 | 91 | 0 |
| 11 | Primož Roglič | 1 | 84 | 80 |
| 12 | Mikkel Frølich Honoré | 0 | 0 | 0 |
| 13 | Paul Seixas | 0 | 0 | 0 |
| 14 | Harold Tejada | 0 | 0 | 0 |
| 15 | Pavel Sivakov | 0 | 0 | 0 |
| 16 | Jai Hindley | 0 | 0 | 0 |
| 17 | Andrea Bagioli | 0 | 0 | 0 |
| 18 | Marc Hirschi | 0 | 0 | 0 |
| 19 | Michael Storer | 0 | 0 | 0 |
| 20 | Carlos Canal | 0 | 0 | 0 |
| 21 | Bauke Mollema | 1 | 35 | 35 |
| 22 | Gianmarco Garofoli | 0 | 0 | 0 |
| 23 | Kevin Vermaerke | 0 | 0 | 0 |
| 24 | Artem Nych | 0 | 0 | 0 |
| 25 | Andreas Leknessund | 0 | 0 | 0 |
| 26 | Cian Uijtdebroeks | 0 | 0 | 0 |
| 27 | Embret Svestad-Bårdseng | 0 | 0 | 0 |
| 28 | Valentin Paret-Peintre | 0 | 0 | 0 |
| 29 | Jan Christen | 0 | 0 | 0 |
| 30 | Amanuel Ghebreigzabhier | 0 | 0 | 0 |
A total of 34 players entered:
| User | Pick | Base | Bonus | Score |
|---|---|---|---|---|
| ser-seaworth | Victor Langellotti | 90 | 52 | 142 |
| wonderbeann | Alberto Bettiol | 80 | 50 | 130 |
| Sappert | Filippo Zana | 52 | 42 | 94 |
| OkChipmunk3854 | Johannes Staune-Mittet | 44 | 38 | 82 |
| MrR2D | Antonio Tiberi | 80 | 0 | 80 |
| Norskov | Antonio Tiberi | 80 | 0 | 80 |
| paulindy2000 | Rudy Molard | 32 | 32 | 64 |
| AwakenTheBacon_ | Quinten Hermans | 30 | 30 | 60 |
| Kryziven | Jan Christen | 50 | 0 | 50 |
| edlll91 | Jan Christen | 50 | 0 | 50 |
| yellow52 | Thibaud Gruel | 12 | 12 | 24 |
| Verlichtingszucht | Matthew Riccitello | 10 | 0 | 10 |
| Divergee5 | Matthew Riccitello | 10 | 0 | 10 |
| CudoLanda | Matthew Riccitello | 10 | 0 | 10 |
| Avila99 | Matthew Riccitello | 10 | 0 | 10 |
| andytheciderman | Diego Ulissi | 6 | 0 | 6 |
| Team_Telekom | Diego Ulissi | 6 | 0 | 6 |
| RaylanGivens8 | Diego Ulissi | 6 | 0 | 6 |
| isaiahHat | Diego Ulissi | 6 | 0 | 6 |
| BWallis17 | Mathias Vacek | 0 | 0 | 0 |
| DerpTrain | Maxim Van Gils | 0 | 0 | 0 |
| TheSlyBean | Niklas Behrens | 0 | 0 | 0 |
| LynniePinnie67 | Rafal Majka | 0 | 0 | 0 |
| Nussig | Maxim Van Gils | 0 | 0 | 0 |
| BSantos57 | Finn Fisher-Black | 0 | 0 | 0 |
| LurkasM1 | Maxim Van Gils | 0 | 0 | 0 |
| Realistic_Heaven | Ethan Hayter | 0 | 0 | 0 |
| djordastic | Finn Fisher-Black | 0 | 0 | 0 |
| alpal2214 | Finn Fisher-Black | 0 | 0 | 0 |
| Redskin44 | Miles Scotson | 0 | 0 | 0 |
| IPJBrennan | Michal Kwiatkowski | 0 | 0 | 0 |
| Eyeconoclastic | Magnus Sheffield | 0 | 0 | 0 |
| listenyall | Magnus Sheffield | 0 | 0 | 0 |
| beaker15 | Ethan Hayter | 0 | 0 | 0 |
The Top 30 finishers were:
| Rank | Rider | Picks | Base | Bonus |
|---|---|---|---|---|
| 1 | Brandon McNulty | 0 | 0 | 0 |
| 2 | Antonio Tiberi | 2 | 160 | 0 |
| 3 | Matteo Sobrero | 0 | 0 | 0 |
| 4 | Jan Christen | 2 | 100 | 0 |
| 5 | Victor Langellotti | 1 | 90 | 52 |
| 6 | Alberto Bettiol | 1 | 80 | 50 |
| 7 | Marco Frigo | 0 | 0 | 0 |
| 8 | Rafał Majka | 0 | 0 | 0 |
| 9 | Pello Bilbao | 0 | 0 | 0 |
| 10 | Filippo Zana | 1 | 52 | 42 |
| 11 | Yannis Voisard | 0 | 0 | 0 |
| 12 | Johannes Staune-Mittet | 1 | 44 | 38 |
| 13 | Matthew Riccitello | 4 | 40 | 0 |
| 14 | Embret Svestad-Bårdseng | 0 | 0 | 0 |
| 15 | Rudy Molard | 1 | 32 | 32 |
| 16 | Quinten Hermans | 1 | 30 | 30 |
| 17 | Davide Formolo | 0 | 0 | 0 |
| 18 | Chris Hamilton | 0 | 0 | 0 |
| 19 | Diego Ulissi | 4 | 24 | 0 |
| 20 | Sam Oomen | 0 | 0 | 0 |
| 21 | Andrea Bagioli | 0 | 0 | 0 |
| 22 | Piotr Pękala | 0 | 0 | 0 |
| 23 | Attila Valter | 0 | 0 | 0 |
| 24 | George Bennett | 0 | 0 | 0 |
| 25 | Thibaud Gruel | 1 | 12 | 12 |
| 26 | Alexander Kamp | 0 | 0 | 0 |
| 27 | Menno Huising | 0 | 0 | 0 |
| 28 | Gijs Leemreize | 0 | 0 | 0 |
| 29 | Colby Simmons | 0 | 0 | 0 |
| 30 | Mateusz Gajdulewicz | 0 | 0 | 0 |
A total of 36 players entered:
| User | Pick | Base | Bonus | Score |
|---|---|---|---|---|
| MrR2D | Jan Christen | 144 | 44 | 188 |
| Kryziven | Maxim Van Gils | 108 | 42 | 150 |
| Avila99 | Tiesj Benoot | 90 | 41 | 131 |
| Norskov | Andreas Kron | 40 | 29 | 69 |
| beaker15 | Giulio Ciccone | 60 | 0 | 60 |
| BWallis17 | Giulio Ciccone | 60 | 0 | 60 |
| BSantos57 | Giulio Ciccone | 60 | 0 | 60 |
| paulindy2000 | Romain Grégoire | 29 | 24 | 53 |
| Realistic_Heaven | Lukas Nerurkar | 25 | 21 | 46 |
| edlll91 | Isaac del Toro | 40.5 | 0 | 40.5 |
| Sappert | Isaac del Toro | 40.5 | 0 | 40.5 |
| djordastic | Neilson Powless | 36 | 0 | 36 |
| alpal2214 | Neilson Powless | 36 | 0 | 36 |
| IPJBrennan | Oscar Onley | 12 | 0 | 12 |
| Divergee5 | Oscar Onley | 12 | 0 | 12 |
| Verlichtingszucht | Oscar Onley | 12 | 0 | 12 |
| OkChipmunk3854 | Sebastian Berwick | 5 | 5 | 10 |
| TheSlyBean | Alex Aranburu | 7 | 0 | 7 |
| Eyeconoclastic | Alex Aranburu | 7 | 0 | 7 |
| LurkasM1 | Primoz Roglic | 5.3 | 0 | 5.3 |
| iamczecksy | Primoz Roglic | 5.3 | 0 | 5.3 |
| GregLeBlonde | Primoz Roglic | 5.3 | 0 | 5.3 |
| CudoLanda | Juan Ayuso | 0 | 0 | 0 |
| Lyx97 | Halland Johannessen Anders | 0 | 0 | 0 |
| yellow52 | Pello Bilbao | 0 | 0 | 0 |
| AwakenTheBacon_ | Cristian Scaroni | 0 | 0 | 0 |
| ssfoxx27 | Jørgen Nordhagen | 0 | 0 | 0 |
| ser-seaworth | Lorenzo Fortunato | 0 | 0 | 0 |
| LynniePinnie67 | Frank van den Broek | 0 | 0 | 0 |
| andytheciderman | Pello Bilbao | 0 | 0 | 0 |
| Nussig | Remco Evenepoel | 0 | 0 | 0 |
| RaylanGivens8 | Frank van den Broek | 0 | 0 | 0 |
| isaiahHat | Halland Johannessen Tobias | 0 | 0 | 0 |
| Team_Telekom | Juan Ayuso | 0 | 0 | 0 |
| DerpTrain | Frank van den Broek | 0 | 0 | 0 |
| Judas_Bishop | Lenny Martinez | 0 | 0 | 0 |
The Top 30 finishers were:
| Rank | Rider | Picks | Base | Bonus |
|---|---|---|---|---|
| 1 | Giulio Ciccone | 3 | 180 | 0 |
| 2 | Jan Christen | 1 | 144 | 44 |
| 3 | Maxim Van Gils | 1 | 108 | 42 |
| 4 | Tiesj Benoot | 1 | 90 | 41 |
| 5 | Isaac del Toro | 2 | 81 | 0 |
| 6 | Neilson Powless | 2 | 72 | 0 |
| 7 | Lucas Plapp | 0 | 0 | 0 |
| 8 | Christian Scaroni | 0 | 0 | 0 |
| 9 | Cian Uijtdebroeks | 0 | 0 | 0 |
| 10 | Xandro Meurisse | 0 | 0 | 0 |
| 11 | Mauro Schmid | 0 | 0 | 0 |
| 12 | Andreas Kron | 1 | 40 | 29 |
| 13 | Oscar Onley | 3 | 36 | 0 |
| 14 | Léo Bisiaux | 0 | 0 | 0 |
| 15 | Romain Grégoire | 1 | 29 | 24 |
| 16 | Nicolas Prodhomme | 0 | 0 | 0 |
| 17 | Lukas Nerurkar | 1 | 25 | 21 |
| 18 | Anthon Charmig | 0 | 0 | 0 |
| 19 | Johannes Kulset | 0 | 0 | 0 |
| 20 | Urko Berrade | 0 | 0 | 0 |
| 21 | Simon Carr | 0 | 0 | 0 |
| 22 | Primoz Roglic | 3 | 16 | 0 |
| 23 | Alex Aranburu | 2 | 14 | 0 |
| 24 | Giovanni Aleotti | 0 | 0 | 0 |
| 25 | Marc Hirschi | 0 | 0 | 0 |
| 26 | James Shaw | 0 | 0 | 0 |
| 27 | Jorge Gutiérrez | 0 | 0 | 0 |
| 28 | Sebastian Berwick | 1 | 5 | 5 |
| 29 | Asbjørn Hellemose | 0 | 0 | 0 |
| 30 | Julien Bernard | 0 | 0 | 0 |
A total of 58 players entered:
| User | Pick | Base | Bonus | Score |
|---|---|---|---|---|
| TheSlyBean | Felix Gall | 270 | 156 | 426 |
| Salty-Level | Kévin Vauquelin | 216 | 144 | 360 |
| iamczecksy | Sepp Kuss | 84 | 84 | 168 |
| JDdieSonne | Matteo Jorgenson | 72 | 72 | 144 |
| Lyx97 | Florian Lipowitz | 120 | 0 | 120 |
| djordastic | Florian Lipowitz | 120 | 0 | 120 |
| LynniePinnie67 | Florian Lipowitz | 120 | 0 | 120 |
| burden321 | Oscar Onley | 100 | 0 | 100 |
| yellow52 | Oscar Onley | 100 | 0 | 100 |
| edlll91 | Oscar Onley | 100 | 0 | 100 |
| Kryziven | Jonas Vingegaard | 96 | 0 | 96 |
| BSantos57 | Jonas Vingegaard | 96 | 0 | 96 |
| fetamorphasis | Jonas Vingegaard | 96 | 0 | 96 |
| RaylanGivens8 | Jonas Vingegaard | 96 | 0 | 96 |
| ssfoxx27 | Jonas Vingegaard | 96 | 0 | 96 |
| Redskin44 | Adam Yates | 42 | 42 | 84 |
| f1phoenix | Jordan Jegat | 78 | 0 | 78 |
| ser-seaworth | Jordan Jegat | 78 | 0 | 78 |
| OkChipmunk3854 | Simon Yates | 32 | 0 | 32 |
| Team_Telekom | Simon Yates | 32 | 0 | 32 |
| Eyeconoclastic | Simon Yates | 32 | 0 | 32 |
| Judas_Bishop | Emanuel Buchmann | 6 | 6 | 12 |
| Xcpa9 | Tadej Pogacar | 0 | 0 | 0 |
| andytheciderman | Halland Johannessen Anders | 0 | 0 | 0 |
| Verlichtingszucht | Carlos Rodriguez | 0 | 0 | 0 |
| Funny-Substance5576 | Harold Tejada | 0 | 0 | 0 |
| magegl | Neilson Powless | 0 | 0 | 0 |
| CudoLanda | Carlos Rodriguez | 0 | 0 | 0 |
| Zeckesan | Tadej Pogacar | 0 | 0 | 0 |
| Avila99 | Georg Zimmermann | 0 | 0 | 0 |
| Sappert | Tadej Pogacar | 0 | 0 | 0 |
| AwakenTheBacon_ | Remco Evenepoel | 0 | 0 | 0 |
| MrR2D | Halland Johannessen Tobias | 0 | 0 | 0 |
| DerpTrain | Halland Johannessen Tobias | 0 | 0 | 0 |
| unburntmotherofdrags | Stian Fredheim | 0 | 0 | 0 |
| Norskov | Halland Johannessen Tobias | 0 | 0 | 0 |
| Solesticio | Joao Almeida | 0 | 0 | 0 |
| wonderbeann | Enric Mas | 0 | 0 | 0 |
| TheEaterr | Lenny Martinez | 0 | 0 | 0 |
| Realistic_Heaven | Michael Storer | 0 | 0 | 0 |
| paulindy2000 | Lenny Martinez | 0 | 0 | 0 |
| alpal2214 | Carlos Rodriguez | 0 | 0 | 0 |
| ULhothot | Joao Almeida | 0 | 0 | 0 |
| Mattxps | Joao Almeida | 0 | 0 | 0 |
| BWallis17 | Santiago Buitrago | 0 | 0 | 0 |
| Divergee5 | Halland Johannessen Tobias | 0 | 0 | 0 |
| LJSchoppert | Tadej Pogacar | 0 | 0 | 0 |
| IPJBrennan | Enric Mas | 0 | 0 | 0 |
| Nussig | Tadej Pogacar | 0 | 0 | 0 |
| SoniMax | Geraint Thomas | 0 | 0 | 0 |
| isaiahHat | Mattias Skjelmose | 0 | 0 | 0 |
| WiscMIIe | Carlos Rodriguez | 0 | 0 | 0 |
| listenyall | Mattias Skjelmose | 0 | 0 | 0 |
| Jumpy-Cricket4744 | Santiago Buitrago | 0 | 0 | 0 |
| markp88 | Alexey Lutsenko | 0 | 0 | 0 |
| Living_Estate4681 | Remco Evenepoel | 0 | 0 | 0 |
| beaker15 | Tadej Pogacar | 0 | 0 | 0 |
| NinaOneEight | Primoz Roglic | 0 | 0 | 0 |
The Top 30 finishers were:
| Rank | Rider | Picks | Base | Bonus |
|---|---|---|---|---|
| 1 | Tadej Pogačar | 0 | 0 | 0 |
| 2 | Jonas Vingegaard | 5 | 480 | 0 |
| 3 | Florian Lipowitz | 3 | 360 | 0 |
| 4 | Oscar Onley | 3 | 300 | 0 |
| 5 | Felix Gall | 1 | 270 | 156 |
| 6 | Tobias Halland Johannessen | 0 | 0 | 0 |
| 7 | Kévin Vauquelin | 1 | 216 | 144 |
| 8 | Primož Roglič | 0 | 0 | 0 |
| 9 | Ben Healy | 0 | 0 | 0 |
| 10 | Jordan Jegat | 2 | 156 | 0 |
| 11 | Ben O'Connor | 0 | 0 | 0 |
| 12 | Thymen Arensman | 0 | 0 | 0 |
| 13 | Jhonatan Narváez | 0 | 0 | 0 |
| 14 | Sergio Higuita | 0 | 0 | 0 |
| 15 | Simon Yates | 3 | 96 | 0 |
| 16 | Guillaume Martin | 0 | 0 | 0 |
| 17 | Sepp Kuss | 1 | 84 | 84 |
| 18 | Gregor Mühlberger | 0 | 0 | 0 |
| 19 | Matteo Jorgenson | 1 | 72 | 72 |
| 20 | Cristián Rodríguez | 0 | 0 | 0 |
| 21 | Valentin Madouas | 0 | 0 | 0 |
| 22 | Xandro Meurisse | 0 | 0 | 0 |
| 23 | Warren Barguil | 0 | 0 | 0 |
| 24 | Adam Yates | 1 | 42 | 42 |
| 25 | Aurélien Paret-Peintre | 0 | 0 | 0 |
| 26 | Raúl García Pierna | 0 | 0 | 0 |
| 27 | Aleksandr Vlasov | 0 | 0 | 0 |
| 28 | Victor Campenaerts | 0 | 0 | 0 |
| 29 | Marc Soler | 0 | 0 | 0 |
| 30 | Emanuel Buchmann | 1 | 6 | 6 |
A total of 40 players entered:
| User | Pick | Base | Bonus | Score |
|---|---|---|---|---|
| ULhothot | Felix Großschartner | 67 | 60 | 127 |
| Avila99 | Georg Zimmermann | 45 | 45 | 90 |
| BWallis17 | Oscar Onley | 84 | 0 | 84 |
| CadenceChallenged | Oscar Onley | 84 | 0 | 84 |
| LurkasM1 | Aleksandr Vlasov | 28 | 28 | 56 |
| andytheciderman | Felix Gall | 46.6 | 0 | 46.6 |
| isaiahHat | Felix Gall | 46.6 | 0 | 46.6 |
| Nussig | Felix Gall | 46.6 | 0 | 46.6 |
| ser-seaworth | Ilan Van Wilder | 30 | 0 | 30 |
| AwakenTheBacon_ | Ilan Van Wilder | 30 | 0 | 30 |
| CudoLanda | Ilan Van Wilder | 30 | 0 | 30 |
| GregLeBlonde | Ben O'Connor | 25.25 | 0 | 25.25 |
| Norskov | Ben O'Connor | 25.25 | 0 | 25.25 |
| beaker15 | Ben O'Connor | 25.25 | 0 | 25.25 |
| djordastic | Ben O'Connor | 25.25 | 0 | 25.25 |
| paulindy2000 | Romain Grégoire | 19.5 | 0 | 19.5 |
| alpal2214 | Romain Grégoire | 19.5 | 0 | 19.5 |
| listenyall | Neilson Powless | 0 | 0 | 0 |
| TheSlyBean | Pello Bilbao | 0 | 0 | 0 |
| OkChipmunk3854 | Laurens De Plus | 0 | 0 | 0 |
| LynniePinnie67 | Pello Bilbao | 0 | 0 | 0 |
| iamczecksy | Ion Izagirre | 0 | 0 | 0 |
| ssfoxx27 | Laurens De Plus | 0 | 0 | 0 |
| Judas_Bishop | Javier Romo | 0 | 0 | 0 |
| Realistic_Heaven | Joe Blackmore | 0 | 0 | 0 |
| edlll91 | Joao Almeida | 0 | 0 | 0 |
| mcrorigan | Jan Christen | 0 | 0 | 0 |
| wonderbeann | Martin López | 0 | 0 | 0 |
| IPJBrennan | Jay Vine | 0 | 0 | 0 |
| MrR2D | Javier Romo | 0 | 0 | 0 |
| DerpTrain | Thomas Gloag | 0 | 0 | 0 |
| fetamorphasis | Pello Bilbao | 0 | 0 | 0 |
| Team_Telekom | David de la Cruz | 0 | 0 | 0 |
| Verlichtingszucht | Laurens De Plus | 0 | 0 | 0 |
| Kryziven | Joao Almeida | 0 | 0 | 0 |
| RaylanGivens8 | Michael Woods | 0 | 0 | 0 |
| Sappert | Joao Almeida | 0 | 0 | 0 |
| BSantos57 | Joao Almeida | 0 | 0 | 0 |
| Eyeconoclastic | Joe Blackmore | 0 | 0 | 0 |
| Funny-Substance5576 | Geraint Thomas | 0 | 0 | 0 |
The Top 30 Finishers Were:
| Rank | Rider | Picks | Base | Bonus |
|---|---|---|---|---|
| 1 | João Almeida | 0 | 0 | 0 |
| 2 | Kévin Vauquelin | 0 | 0 | 0 |
| 3 | Oscar Onley | 2 | 168 | 0 |
| 4 | Felix Gall | 3 | 140 | 0 |
| 5 | Julian Alaphilippe | 0 | 0 | 0 |
| 6 | Lennard Kämna | 0 | 0 | 0 |
| 7 | Ben O'Connor | 4 | 101 | 0 |
| 8 | Ilan Van Wilder | 3 | 90 | 0 |
| 9 | Pablo Castrillo | 0 | 0 | 0 |
| 10 | Clément Champoussin | 0 | 0 | 0 |
| 11 | Felix Großschartner | 1 | 67 | 60 |
| 12 | Will Barta | 0 | 0 | 0 |
| 13 | Finlay Pickering | 0 | 0 | 0 |
| 14 | George Bennett | 0 | 0 | 0 |
| 15 | Georg Zimmermann | 1 | 45 | 45 |
| 16 | Warren Barguil | 0 | 0 | 0 |
| 17 | Romain Grégoire | 2 | 39 | 0 |
| 18 | Eduardo Sepúlveda | 0 | 0 | 0 |
| 19 | Joseph Blackmore | 0 | 0 | 0 |
| 20 | Bart Lemmen | 0 | 0 | 0 |
| 21 | Aleksandr Vlasov | 1 | 28 | 28 |
| 22 | Nicola Conci | 0 | 0 | 0 |
| 23 | Ewen Costiou | 0 | 0 | 0 |
| 24 | Tijmen Graat | 0 | 0 | 0 |
| 25 | Tao Geoghegan Hart | 0 | 0 | 0 |
| 26 | Valentin Madouas | 0 | 0 | 0 |
| 27 | Sam Maisonobe | 0 | 0 | 0 |
| 28 | Callum Scotson | 0 | 0 | 0 |
| 29 | Matteo Sobrero | 0 | 0 | 0 |
| 30 | Quinn Simmons | 0 | 0 | 0 |
A total of 41 players entered:
| User | Pick | Base | Bonus | Score |
|---|---|---|---|---|
| Living_Estate4681 | Remco Evenepoel | 140 | 81 | 221 |
| Norskov | Halland Johannessen Tobias | 126 | 78 | 204 |
| alpal2214 | Carlos Rodriguez | 81 | 66 | 147 |
| andytheciderman | Tadej Pogacar | 93.3 | 0 | 93.3 |
| Kryziven | Tadej Pogacar | 93.3 | 0 | 93.3 |
| Sappert | Tadej Pogacar | 93.3 | 0 | 93.3 |
| wonderbeann | Sergio Higuita | 25 | 25 | 50 |
| MrR2D | Paul Seixas | 45 | 0 | 45 |
| Realistic_Heaven | Paul Seixas | 45 | 0 | 45 |
| AwakenTheBacon_ | Jonas Vingegaard | 44.8 | 0 | 44.8 |
| beaker15 | Jonas Vingegaard | 44.8 | 0 | 44.8 |
| fetamorphasis | Jonas Vingegaard | 44.8 | 0 | 44.8 |
| listenyall | Jonas Vingegaard | 44.8 | 0 | 44.8 |
| Nussig | Jonas Vingegaard | 44.8 | 0 | 44.8 |
| CudoLanda | Florian Lipowitz | 42 | 0 | 42 |
| Divergee5 | Florian Lipowitz | 42 | 0 | 42 |
| LurkasM1 | Florian Lipowitz | 42 | 0 | 42 |
| RaylanGivens8 | Florian Lipowitz | 42 | 0 | 42 |
| edlll91 | Enric Mas | 33.7 | 0 | 33.7 |
| isaiahHat | Enric Mas | 33.7 | 0 | 33.7 |
| Judas_Bishop | Enric Mas | 33.7 | 0 | 33.7 |
| Lyx97 | Romain Bardet | 14 | 14 | 28 |
| CadenceChallenged | Matteo Jorgenson | 22.4 | 0 | 22.4 |
| DerpTrain | Matteo Jorgenson | 22.4 | 0 | 22.4 |
| JDdieSonne | Matteo Jorgenson | 22.4 | 0 | 22.4 |
| Ok_Chipmunk_3854 | Matteo Jorgenson | 22.4 | 0 | 22.4 |
| WiscMIIe | Matteo Jorgenson | 22.4 | 0 | 22.4 |
| LJSchoppert | Sepp Kuss | 14 | 0 | 14 |
| LynniePinnie67 | Sepp Kuss | 14 | 0 | 14 |
| Redskin44 | Sepp Kuss | 14 | 0 | 14 |
| Team_Telekom | Sepp Kuss | 14 | 0 | 14 |
| BSantos57 | Lenny Martinez | 2.7 | 0 | 2.7 |
| paulindy2000 | Lenny Martinez | 2.7 | 0 | 2.7 |
| TheSlyBean | Lenny Martinez | 2.7 | 0 | 2.7 |
| Eyeconoclastic | Aurélien Paret-Peintre | 0 | 0 | 0 |
| IPJBrennan | Aurélien Paret-Peintre | 0 | 0 | 0 |
| Xcpa9 | Harold Tejada | 0 | 0 | 0 |
| BWallis17 | Magnus Sheffield | 0 | 0 | 0 |
| yellow52 | Max Poole | 0 | 0 | 0 |
| Avila99 | Santiago Buitrago | 0 | 0 | 0 |
| Verlichtingszucht | Santiago Buitrago | 0 | 0 | 0 |
The Top 30 finishers were:
| Rank | Rider | Picks | Base | Bonus |
|---|---|---|---|---|
| 1 | Tadej Pogacar | 3 | 280 | 0 |
| 2 | Jonas Vingegaard | 5 | 224 | 0 |
| 3 | Florian Lipowitz | 4 | 168 | 0 |
| 4 | Remco Evenepoel | 1 | 140 | 81 |
| 5 | Halland Johannessen Tobias | 1 | 126 | 78 |
| 6 | Matteo Jorgenson | 5 | 112 | 0 |
| 7 | Enric Mas | 3 | 101 | 0 |
| 8 | Paul Seixas | 2 | 90 | 0 |
| 9 | Carlos Rodriguez | 1 | 81 | 66 |
| 10 | Guillaume Martin-Guyonnet | 0 | 73 | 0 |
| 11 | Emanuel Buchmann | 0 | 67 | 0 |
| 12 | Ben Tulett | 0 | 62 | 0 |
| 13 | Sepp Kuss | 4 | 56 | 0 |
| 14 | Jordan Jegat | 0 | 50 | 0 |
| 15 | Mathys Rondel | 0 | 45 | 0 |
| 16 | Gregor Mühlberger | 0 | 42 | 0 |
| 17 | Alexey Lutsenko | 0 | 39 | 0 |
| 18 | Louis Meintjes | 0 | 36 | 0 |
| 19 | Edward Dunbar | 0 | 34 | 0 |
| 20 | Esteban Chaves | 0 | 31 | 0 |
| 21 | Bruno Armirail | 0 | 28 | 0 |
| 22 | Sergio Higuita | 1 | 25 | 25 |
| 23 | Clément Braz Afonso | 0 | 22 | 0 |
| 24 | Clément Berthet | 0 | 20 | 0 |
| 25 | Torstein Træen | 0 | 17 | 0 |
| 26 | Romain Bardet | 1 | 14 | 14 |
| 27 | Pavel Sivakov | 0 | 11 | 0 |
| 28 | Lenny Martinez | 3 | 8 | 0 |
| 29 | Maxim Van Gils | 0 | 6 | 0 |
| 30 | Jack Haig | 0 | 3 | 0 |
A total of 68 players entered:
| User | Pick | Base | Bonus | Score |
|---|---|---|---|---|
| Verlichtingszucht | Damiano Caruso | 225 | 130 | 355 |
| Ok_Chipmunk_3854 | Egan Bernal | 180 | 120 | 300 |
| andytheciderman | Adam Yates | 110 | 95 | 205 |
| Eyeconoclastic | Nicolas Prodhomme | 80 | 80 | 160 |
| JDdieSonne | Simon Yates | 125 | 0 | 125 |
| LynniePinnie67 | Simon Yates | 125 | 0 | 125 |
| marleycats | Simon Yates | 125 | 0 | 125 |
| mcrorigan | Simon Yates | 125 | 0 | 125 |
| IPJBrennan | Derek Gee | 83.3 | 0 | 83.3 |
| Mattxps | Derek Gee | 83.3 | 0 | 83.3 |
| Norskov | Derek Gee | 83.3 | 0 | 83.3 |
| alpal2214 | Richard Carapaz | 60 | 0 | 60 |
| CadenceChallenged | Richard Carapaz | 60 | 0 | 60 |
| fetamorphasis | Richard Carapaz | 60 | 0 | 60 |
| Lyx97 | Richard Carapaz | 60 | 0 | 60 |
| MrR2D | Richard Carapaz | 60 | 0 | 60 |
| Funny-Substance5576 | Einer Rubio | 53.3 | 0 | 53.3 |
| LJSchoppert | Einer Rubio | 53.3 | 0 | 53.3 |
| SparkleCrotchLover | Einer Rubio | 53.3 | 0 | 53.3 |
| DerpTrain | Max Poole | 40 | 0 | 40 |
| isaiahHat | Max Poole | 40 | 0 | 40 |
| Redskin44 | Max Poole | 40 | 0 | 40 |
| Jumpy-Cricket4744 | Tom Pidcock | 37.5 | 0 | 37.5 |
| Sappert | Tom Pidcock | 37.5 | 0 | 37.5 |
| listenyall | Michael Storer | 26 | 0 | 26 |
| ssfoxx27 | Michael Storer | 26 | 0 | 26 |
| ULhothot | Michael Storer | 26 | 0 | 26 |
| yellow52 | Michael Storer | 26 | 0 | 26 |
| Zeckesan | Michael Storer | 26 | 0 | 26 |
| burden321 | Antonio Tiberi | 23.3 | 0 | 23.3 |
| derwipok | Antonio Tiberi | 23.3 | 0 | 23.3 |
| Team_Telekom | Antonio Tiberi | 23.3 | 0 | 23.3 |
| Judas_Bishop | Davide Piganzoli | 22.5 | 0 | 22.5 |
| Living_Estate4681 | Davide Piganzoli | 22.5 | 0 | 22.5 |
| Realistic_Heaven | Davide Piganzoli | 22.5 | 0 | 22.5 |
| ZBGT | Davide Piganzoli | 22.5 | 0 | 22.5 |
| GregLeBlonde | Chris Harper | 20 | 0 | 20 |
| RaylanGivens8 | Chris Harper | 20 | 0 | 20 |
| thebigscratch | Lorenzo Fortunato | 17.5 | 0 | 17.5 |
| wonderbeann | Lorenzo Fortunato | 17.5 | 0 | 17.5 |
| Avila99 | Romain Bardet | 12.5 | 0 | 12.5 |
| paulindy2000 | Romain Bardet | 12.5 | 0 | 12.5 |
| BWallis17 | Thymen Arensman | 3.3 | 0 | 3.3 |
| sudomakemetacos | Thymen Arensman | 3.3 | 0 | 3.3 |
| Xcpa9 | Thymen Arensman | 3.3 | 0 | 3.3 |
| Divergee5 | Cristian Scaroni | 0 | 0 | 0 |
| beaker15 | Giulio Ciccone | 0 | 0 | 0 |
| BSantos57 | Giulio Ciccone | 0 | 0 | 0 |
| WiscMIIe | Giulio Ciccone | 0 | 0 | 0 |
| LurkasM1 | Jai Hindley | 0 | 0 | 0 |
| nahgoe16 | Jai Hindley | 0 | 0 | 0 |
| Salty-Level | Jai Hindley | 0 | 0 | 0 |
| Big_Mike_S | Juan Ayuso | 0 | 0 | 0 |
| ClimbRunRide | Juan Ayuso | 0 | 0 | 0 |
| edlll91 | Juan Ayuso | 0 | 0 | 0 |
| ser-seaworth | Juan Ayuso | 0 | 0 | 0 |
| JBREAK123 | Mikel Landa | 0 | 0 | 0 |
| TheSlyBean | Mikel Landa | 0 | 0 | 0 |
| djordastic | Primoz Roglic | 0 | 0 | 0 |
| iamczecksy | Primoz Roglic | 0 | 0 | 0 |
| Kryziven | Primoz Roglic | 0 | 0 | 0 |
| markp88 | Primoz Roglic | 0 | 0 | 0 |
| NinaOneEight | Primoz Roglic | 0 | 0 | 0 |
| Nussig | Primoz Roglic | 0 | 0 | 0 |
| sunnyB8 | Primoz Roglic | 0 | 0 | 0 |
| detestrian | Wilco Kelderman | 0 | 0 | 0 |
| sharkbait_hahaha | Wilco Kelderman | 0 | 0 | 0 |
| AwakenTheBacon_ | Wout Poels | 0 | 0 | 0 |
The Top 30 finishers were:
| Rank | Rider | Picks | Base | Bonus |
|---|---|---|---|---|
| 1 | Simon Yates | 4 | 500 | 0 |
| 2 | Isaac del Toro | 0 | 400 | 0 |
| 3 | Richard Carapaz | 5 | 300 | 0 |
| 4 | Derek Gee | 3 | 250 | 0 |
| 5 | Damiano Caruso | 1 | 225 | 130 |
| 6 | Giulio Pellizzari | 0 | 200 | 0 |
| 7 | Egan Bernal | 1 | 180 | 120 |
| 8 | Einer Rubio | 3 | 160 | 0 |
| 9 | Brandon McNulty | 0 | 145 | 0 |
| 10 | Michael Storer | 5 | 130 | 0 |
| 11 | Max Poole | 3 | 120 | 0 |
| 12 | Adam Yates | 1 | 110 | 95 |
| 13 | Rafal Majka | 0 | 100 | 0 |
| 14 | Davide Piganzoli | 4 | 90 | 0 |
| 15 | Nicolas Prodhomme | 1 | 80 | 80 |
| 16 | Tom Pidcock | 2 | 75 | 0 |
| 17 | Antonio Tiberi | 3 | 70 | 0 |
| 18 | Louis Meintjes | 0 | 65 | 0 |
| 19 | James Knox | 0 | 60 | 0 |
| 20 | Florian Stork | 0 | 55 | 0 |
| 21 | Diego Ulissi | 0 | 50 | 0 |
| 22 | Embret Svestad-Bårdseng | 0 | 45 | 0 |
| 23 | Chris Harper | 2 | 40 | 0 |
| 24 | Lorenzo Fortunato | 2 | 35 | 0 |
| 25 | Nairo Quintana | 0 | 30 | 0 |
| 26 | Romain Bardet | 2 | 25 | 0 |
| 27 | Edoardo Zambanini | 0 | 20 | 0 |
| 28 | Marco Frigo | 0 | 15 | 0 |
| 29 | Thymen Arensman | 3 | 10 | 0 |
| 30 | Pello Bilbao | 0 | 5 | 0 |
A total of 45 players entered:
| User | Pick | Base | Bonus | Score |
|---|---|---|---|---|
| wonderbeann | Warren Barguil | 36 | 21 | 57 |
| derwipok | Alessandro Covi | 33 | 20 | 53 |
| DerpTrain | Magnus Cort | 45 | 0 | 45 |
| Eyeconoclastic | Magnus Cort | 45 | 0 | 45 |
| ser-seaworth | Fabio Christen | 25 | 17 | 42 |
| andytheciderman | Simone Velasco | 19 | 14 | 33 |
| BSantos57 | Michael Matthews | 15 | 0 | 15 |
| Divergee5 | Michael Matthews | 15 | 0 | 15 |
| edlll91 | Michael Matthews | 15 | 0 | 15 |
| iamczecksy | Michael Matthews | 15 | 0 | 15 |
| Kryziven | Michael Matthews | 15 | 0 | 15 |
| Mattxps | Michael Matthews | 15 | 0 | 15 |
| Nussig | Michael Matthews | 15 | 0 | 15 |
| Ok_Chipmunk_3854 | Michael Matthews | 15 | 0 | 15 |
| CadenceChallenged | Alex Aranburu | 5.7 | 0 | 5.7 |
| Living_Estate4681 | Alex Aranburu | 5.7 | 0 | 5.7 |
| Team_Telekom | Alex Aranburu | 5.7 | 0 | 5.7 |
| LJSchoppert | Andrea Bagioli | 0 | 0 | 0 |
| Zeckesan | Andrea Bagioli | 0 | 0 | 0 |
| Avila99 | António Morgado | 0 | 0 | 0 |
| CudoLanda | António Morgado | 0 | 0 | 0 |
| beaker15 | Ben Healy | 0 | 0 | 0 |
| Redskin44 | Florian Vermeersch | 0 | 0 | 0 |
| Lyx97 | Francesco Busatto | 0 | 0 | 0 |
| JDdieSonne | Georg Zimmermann | 0 | 0 | 0 |
| TheSlyBean | John Degenkolb | 0 | 0 | 0 |
| Funny-Substance5576 | Julian Alaphilippe | 0 | 0 | 0 |
| GregLeBlonde | Kevin Vermaerke | 0 | 0 | 0 |
| listenyall | Kragh Andersen Søren | 0 | 0 | 0 |
| fetamorphasis | Lenny Martinez | 0 | 0 | 0 |
| sudomakemetacos | Olav Kooij | 0 | 0 | 0 |
| Judas_Bishop | Pascal Ackermann | 0 | 0 | 0 |
| LynniePinnie67 | Paul Magnier | 0 | 0 | 0 |
| paulindy2000 | Paul Magnier | 0 | 0 | 0 |
| Verlichtingszucht | Paul Magnier | 0 | 0 | 0 |
| RaylanGivens8 | Rick Pluimers | 0 | 0 | 0 |
| AwakenTheBacon_ | Roger Adriá | 0 | 0 | 0 |
| isaiahHat | Roger Adriá | 0 | 0 | 0 |
| LurkasM1 | Roger Adriá | 0 | 0 | 0 |
| IPJBrennan | Santiago Buitrago | 0 | 0 | 0 |
| Big_Mike_S | Thibau Nys | 0 | 0 | 0 |
| ClimbRunRide | Thibau Nys | 0 | 0 | 0 |
| Sappert | Thibau Nys | 0 | 0 | 0 |
| ssfoxx27 | Thibau Nys | 0 | 0 | 0 |
| sharkbait_hahaha | Yevgeniy Fedorov | 0 | 0 | 0 |
The Top 30 finishers were:
| Rank | Rider | Picks | Base | Bonus |
|---|---|---|---|---|
| 1 | Michael Matthews | 8 | 120 | 0 |
| 2 | Magnus Cort | 2 | 90 | 0 |
| 3 | Jon Barrenetxea | 0 | 75 | 0 |
| 4 | Neilson Powless | 0 | 68 | 0 |
| 5 | Frederik Wandahl | 0 | 60 | 0 |
| 6 | Albert Withen Philipsen | 0 | 54 | 0 |
| 7 | Stefano Oldani | 0 | 48 | 0 |
| 8 | Marc Hirschi | 0 | 44 | 0 |
| 9 | Nico Denz | 0 | 39 | 0 |
| 10 | Warren Barguil | 1 | 36 | 21 |
| 11 | Alessandro Covi | 1 | 33 | 20 |
| 12 | Edoardo Zambanini | 0 | 30 | 0 |
| 13 | Hugo Houle | 0 | 27 | 0 |
| 14 | Fabio Christen | 1 | 25 | 17 |
| 15 | Ruben Guerreiro | 0 | 23 | 0 |
| 16 | Jonathan Lastra | 0 | 21 | 0 |
| 17 | Simone Velasco | 1 | 19 | 14 |
| 18 | Alex Aranburu | 3 | 17 | 0 |
| 19 | Xandro Meurisse | 0 | 15 | 0 |
| 20 | David de la Cruz | 0 | 13 | 0 |
| 21 | Sergio Samitier | 0 | 11 | 0 |
| 22 | Diego Pescador | 0 | 9 | 0 |
| 23 | Emil Herzog | 0 | 8 | 0 |
| 24 | Fredrik Dversnes | 0 | 7 | 0 |
| 25 | Andreas Leknessund | 0 | 6 | 0 |
| 26 | Felix Engelhardt | 0 | 5 | 0 |
| 27 | Matteo Badilatti | 0 | 4 | 0 |
| 28 | Davide De Pretto | 0 | 3 | 0 |
| 29 | Max Schachmann | 0 | 2 | 0 |
| 30 | Torstein Træen | 0 | 1 | 0 |
A total of 52 players entered:
| User | Pick | Base | Bonus | Score |
|---|---|---|---|---|
| Mattxps | Pedro Lopez Juan | 101 | 72 | 173 |
| Divergee5 | Junior Lecerf | 90 | 69 | 159 |
| andytheciderman | Javier Romo | 73 | 63 | 136 |
| isaiahHat | Harold Tejada | 50 | 50 | 100 |
| ser-seaworth | Oscar Onley | 42 | 42 | 84 |
| fetamorphasis | Lenny Martinez | 74.7 | 0 | 74.7 |
| paulindy2000 | Lenny Martinez | 74.7 | 0 | 74.7 |
| TheSlyBean | Lenny Martinez | 74.7 | 0 | 74.7 |
| alpal2214 | Remco Evenepoel | 63 | 0 | 63 |
| Funny-Substance5576 | Remco Evenepoel | 63 | 0 | 63 |
| Big_Mike_S | Joao Almeida | 40 | 0 | 40 |
| djordastic | Joao Almeida | 40 | 0 | 40 |
| edlll91 | Joao Almeida | 40 | 0 | 40 |
| Kryziven | Joao Almeida | 40 | 0 | 40 |
| Norskov | Joao Almeida | 40 | 0 | 40 |
| paaulo | Joao Almeida | 40 | 0 | 40 |
| Zeckesan | Joao Almeida | 40 | 0 | 40 |
| Jumpy-Cricket4744 | Jay Vine | 33.6 | 0 | 33.6 |
| LJSchoppert | Jay Vine | 33.6 | 0 | 33.6 |
| MrR2D | Jay Vine | 33.6 | 0 | 33.6 |
| Redskin44 | Jay Vine | 33.6 | 0 | 33.6 |
| Verlichtingszucht | Jay Vine | 33.6 | 0 | 33.6 |
| beaker15 | Carlos Rodriguez | 28 | 0 | 28 |
| BSantos57 | Carlos Rodriguez | 28 | 0 | 28 |
| listenyall | Carlos Rodriguez | 28 | 0 | 28 |
| Xcpa9 | Carlos Rodriguez | 28 | 0 | 28 |
| Avila99 | Lennert Van Eetvelt | 22.5 | 0 | 22.5 |
| CudoLanda | Lennert Van Eetvelt | 22.5 | 0 | 22.5 |
| iamczecksy | Aleksandr Vlasov | 5 | 0 | 5 |
| LurkasM1 | Aleksandr Vlasov | 5 | 0 | 5 |
| Ok_Chipmunk_3854 | Aleksandr Vlasov | 5 | 0 | 5 |
| Sappert | Aleksandr Vlasov | 5 | 0 | 5 |
| AwakenTheBacon_ | Aurélien Paret-Peintre | 1.5 | 0 | 1.5 |
| IPJBrennan | Aurélien Paret-Peintre | 1.5 | 0 | 1.5 |
| RaylanGivens8 | Aurélien Paret-Peintre | 1.5 | 0 | 1.5 |
| wonderbeann | Aurélien Paret-Peintre | 1.5 | 0 | 1.5 |
| Lyx97 | Finn Fisher-Black | 0 | 0 | 0 |
| marleycats | Finn Fisher-Black | 0 | 0 | 0 |
| burden321 | Iván Romeo | 0 | 0 | 0 |
| BWallis17 | Iván Romeo | 0 | 0 | 0 |
| Judas_Bishop | Iván Romeo | 0 | 0 | 0 |
| LynniePinnie67 | Iván Romeo | 0 | 0 | 0 |
| ClimbRunRide | Jan Christen | 0 | 0 | 0 |
| DerpTrain | Jan Christen | 0 | 0 | 0 |
| Team_Telekom | Jan Christen | 0 | 0 | 0 |
| yellow52 | Jan Christen | 0 | 0 | 0 |
| sudomakemetacos | Laurens De Plus | 0 | 0 | 0 |
| Eyeconoclastic | Lucas Plapp | 0 | 0 | 0 |
| JDdieSonne | Lucas Plapp | 0 | 0 | 0 |
| sharkbait_hahaha | Matthew Brennan | 0 | 0 | 0 |
| derwipok | Pablo Castrillo | 0 | 0 | 0 |
| ssfoxx27 | Pablo Castrillo | 0 | 0 | 0 |
The Top 30 finishers were:
| Rank | Rider | Picks | Base | Bonus |
|---|---|---|---|---|
| 1 | Joao Almeida | 7 | 280 | 0 |
| 2 | Lenny Martinez | 3 | 224 | 0 |
| 3 | Jay Vine | 5 | 168 | 0 |
| 4 | Lorenzo Fortunato | 0 | 140 | 0 |
| 5 | Remco Evenepoel | 2 | 126 | 0 |
| 6 | Carlos Rodriguez | 4 | 112 | 0 |
| 7 | Pedro Lopez Juan | 1 | 101 | 72 |
| 8 | Junior Lecerf | 1 | 90 | 69 |
| 9 | Mathys Rondel | 0 | 81 | 0 |
| 10 | Javier Romo | 1 | 73 | 63 |
| 11 | Cristian Rodriguez | 0 | 67 | 0 |
| 12 | Johannes Staune-Mittet | 0 | 62 | 0 |
| 13 | Jørgen Nordhagen | 0 | 56 | 0 |
| 14 | Harold Tejada | 1 | 50 | 50 |
| 15 | Lennert Van Eetvelt | 2 | 45 | 0 |
| 16 | Oscar Onley | 1 | 42 | 42 |
| 17 | Sergio Higuita | 0 | 39 | 0 |
| 18 | Jack Haig | 0 | 36 | 0 |
| 19 | Callum Scotson | 0 | 34 | 0 |
| 20 | Asbjørn Hellemose | 0 | 31 | 0 |
| 21 | Emanuel Buchmann | 0 | 28 | 0 |
| 22 | Ion Izagirre | 0 | 25 | 0 |
| 23 | Pablo Torres | 0 | 22 | 0 |
| 24 | Aleksandr Vlasov | 4 | 20 | 0 |
| 25 | Sam Oomen | 0 | 17 | 0 |
| 26 | Archie Ryan | 0 | 14 | 0 |
| 27 | Edward Dunbar | 0 | 11 | 0 |
| 28 | Geraint Thomas | 0 | 8 | 0 |
| 29 | Aurélien Paret-Peintre | 4 | 6 | 0 |
| 30 | David Gaudu | 0 | 3 | 0 |
A total of 57 players entered:
| User | Pick | Base | Bonus | Score |
|---|---|---|---|---|
| Jumpy-Cricket4744 | Neilson Powless | 91 | 84 | 175 |
| CudoLanda | Giulio Ciccone | 140 | 0 | 140 |
| LJSchoppert | Giulio Ciccone | 140 | 0 | 140 |
| Redskin44 | Aurélien Paret-Peintre | 45 | 45 | 90 |
| paulindy2000 | Romain Grégoire | 42 | 42 | 84 |
| beaker15 | Tadej Pogacar | 58.3 | 0 | 58.3 |
| BSantos57 | Tadej Pogacar | 58.3 | 0 | 58.3 |
| djordastic | Tadej Pogacar | 58.3 | 0 | 58.3 |
| Kryziven | Tadej Pogacar | 58.3 | 0 | 58.3 |
| MaxAeroMustache | Tadej Pogacar | 58.3 | 0 | 58.3 |
| Nussig | Tadej Pogacar | 58.3 | 0 | 58.3 |
| markp88 | Christian Scaroni | 28 | 28 | 56 |
| Verlichtingszucht | Tiesj Benoot | 35 | 0 | 35 |
| yellow52 | Tiesj Benoot | 35 | 0 | 35 |
| Avila99 | Ben Healy | 30 | 0 | 30 |
| CadenceChallenged | Ben Healy | 30 | 0 | 30 |
| IPJBrennan | Ben Healy | 30 | 0 | 30 |
| Lyx97 | Ben Healy | 30 | 0 | 30 |
| marleycats | Ben Healy | 30 | 0 | 30 |
| Norskov | Ben Healy | 30 | 0 | 30 |
| TheSlyBean | Ben Healy | 30 | 0 | 30 |
| Divergee5 | Mauro Schmid | 16 | 0 | 16 |
| ser-seaworth | Mauro Schmid | 16 | 0 | 16 |
| derwipok | Brandon McNulty | 9 | 0 | 9 |
| WiscMIIe | Brandon McNulty | 9 | 0 | 9 |
| DerpTrain | Guillaume Martin-Guyonnet | 7 | 0 | 7 |
| Judas_Bishop | Guillaume Martin-Guyonnet | 7 | 0 | 7 |
| RaylanGivens8 | Guillaume Martin-Guyonnet | 7 | 0 | 7 |
| sharkbait_hahaha | Guillaume Martin-Guyonnet | 7 | 0 | 7 |
| ssfoxx27 | Guillaume Martin-Guyonnet | 7 | 0 | 7 |
| Team_Telekom | Carlos Rodriguez | 0 | 0 | 0 |
| wonderbeann | Davide Formolo | 0 | 0 | 0 |
| Mattxps | Joe Blackmore | 0 | 0 | 0 |
| LurkasM1 | Kévin Vauquelin | 0 | 0 | 0 |
| mcrorigan | Kévin Vauquelin | 0 | 0 | 0 |
| sunnyB8 | Kévin Vauquelin | 0 | 0 | 0 |
| LynniePinnie67 | Magnus Cort | 0 | 0 | 0 |
| isaiahHat | Magnus Sheffield | 0 | 0 | 0 |
| GregLeBlonde | Marc Hirschi | 0 | 0 | 0 |
| listenyall | Marc Hirschi | 0 | 0 | 0 |
| Salty-Level | Marc Hirschi | 0 | 0 | 0 |
| alpal2214 | Mattias Skjelmose | 0 | 0 | 0 |
| edlll91 | Remco Evenepoel | 0 | 0 | 0 |
| iamczecksy | Remco Evenepoel | 0 | 0 | 0 |
| Ok_Chipmunk_3854 | Remco Evenepoel | 0 | 0 | 0 |
| Zeckesan | Remco Evenepoel | 0 | 0 | 0 |
| AwakenTheBacon_ | Romain Bardet | 0 | 0 | 0 |
| kootrtt | Romain Bardet | 0 | 0 | 0 |
| Sappert | Romain Bardet | 0 | 0 | 0 |
| sudomakemetacos | Romain Bardet | 0 | 0 | 0 |
| vbarrielle | Romain Bardet | 0 | 0 | 0 |
| burden321 | Santiago Buitrago | 0 | 0 | 0 |
| JDdieSonne | Santiago Buitrago | 0 | 0 | 0 |
| MrR2D | Santiago Buitrago | 0 | 0 | 0 |
| Big_Mike_S | Valentin Madouas | 0 | 0 | 0 |
| BWallis17 | Valentin Madouas | 0 | 0 | 0 |
| Xcpa9 | Valentin Madouas | 0 | 0 | 0 |
The Top 30 finishers were:
| Rank | Rider | Picks | Base | Bonus |
|---|---|---|---|---|
| 1 | Tadej Pogacar | 6 | 350 | 0 |
| 2 | Giulio Ciccone | 2 | 280 | 0 |
| 3 | Ben Healy | 7 | 210 | 0 |
| 4 | Simone Velasco | 0 | 175 | 0 |
| 5 | Thibau Nys | 0 | 158 | 0 |
| 6 | Andrea Bagioli | 0 | 140 | 0 |
| 7 | Daniel Martinez | 0 | 126 | 0 |
| 8 | Axel Laurance | 0 | 112 | 0 |
| 9 | Tom Pidcock | 0 | 101 | 0 |
| 10 | Neilson Powless | 1 | 91 | 84 |
| 11 | Michael Matthews | 0 | 84 | 0 |
| 12 | Oscar Onley | 0 | 78 | 0 |
| 13 | Tiesj Benoot | 2 | 70 | 0 |
| 14 | Emiel Verstrynge | 0 | 62 | 0 |
| 15 | Alex Aranburu | 0 | 56 | 0 |
| 16 | Lennert Van Eetvelt | 0 | 52 | 0 |
| 17 | Andreas Leknessund | 0 | 48 | 0 |
| 18 | Aurélien Paret-Peintre | 1 | 45 | 45 |
| 19 | Romain Grégoire | 1 | 42 | 42 |
| 20 | Ben Tulett | 0 | 39 | 0 |
| 21 | Guillaume Martin-Guyonnet | 5 | 35 | 0 |
| 22 | Mauro Schmid | 2 | 32 | 0 |
| 23 | Christian Scaroni | 0 | 28 | 0 |
| 24 | Jordan Jegat | 0 | 25 | 0 |
| 25 | Louis Barré | 0 | 21 | 0 |
| 26 | Brandon McNulty | 2 | 18 | 0 |
| 27 | Roger Adrià | 0 | 14 | 0 |
| 28 | Clément Berthet | 0 | 10 | 0 |
| 29 | Pello Bilbao | 0 | 8 | 0 |
| 30 | Alex Baudin | 0 | 4 | 0 |
A total of 55 players entered:
| User | Pick | Base | Bonus | Score |
|---|---|---|---|---|
| Zeckesan | Santiago Buitrago | 72 | 38 | 110 |
| paulindy2000 | Romain Grégoire | 65 | 36 | 101 |
| Divergee5 | Brandon McNulty | 29 | 24 | 53 |
| IPJBrennan | Ben Healy | 40.5 | 0 | 40.5 |
| sudomakemetacos | Ben Healy | 40.5 | 0 | 40.5 |
| Eyeconoclastic | Kévin Vauquelin | 36 | 0 | 36 |
| Mattxps | Kévin Vauquelin | 36 | 0 | 36 |
| ssfoxx27 | Kévin Vauquelin | 36 | 0 | 36 |
| vbarrielle | Kévin Vauquelin | 36 | 0 | 36 |
| andytheciderman | Tadej Pogacar | 36 | 0 | 36 |
| BSantos57 | Tadej Pogacar | 36 | 0 | 36 |
| edlll91 | Tadej Pogacar | 36 | 0 | 36 |
| JDdieSonne | Tadej Pogacar | 36 | 0 | 36 |
| Kryziven | Tadej Pogacar | 36 | 0 | 36 |
| CadenceChallenged | Tom Pidcock | 36 | 0 | 36 |
| isaiahHat | Tom Pidcock | 36 | 0 | 36 |
| Xcpa9 | Tom Pidcock | 36 | 0 | 36 |
| Judas_Bishop | Lenny Martinez | 30 | 0 | 30 |
| MrR2D | Lenny Martinez | 30 | 0 | 30 |
| ser-seaworth | Lenny Martinez | 30 | 0 | 30 |
| AwakenTheBacon_ | Mauro Schmid | 23.5 | 0 | 23.5 |
| sharkbait_hahaha | Mauro Schmid | 23.5 | 0 | 23.5 |
| djordastic | Remco Evenepoel | 17.3 | 0 | 17.3 |
| iamczecksy | Remco Evenepoel | 17.3 | 0 | 17.3 |
| Ok_Chipmunk_3854 | Remco Evenepoel | 17.3 | 0 | 17.3 |
| burden321 | Thibau Nys | 14.5 | 0 | 14.5 |
| TheSlyBean | Thibau Nys | 14.5 | 0 | 14.5 |
| Venturace | Thibau Nys | 14.5 | 0 | 14.5 |
| WiscMIIe | Thibau Nys | 14.5 | 0 | 14.5 |
| DerpTrain | Tiesj Benoot | 13.3 | 0 | 13.3 |
| Jumpy-Cricket4744 | Tiesj Benoot | 13.3 | 0 | 13.3 |
| yellow52 | Tiesj Benoot | 13.3 | 0 | 13.3 |
| alpal2214 | Julian Alaphilippe | 8 | 0 | 8 |
| mcrorigan | Julian Alaphilippe | 8 | 0 | 8 |
| Avila99 | Attila Valter | 0 | 0 | 0 |
| wonderbeann | Daniel Martinez | 0 | 0 | 0 |
| CudoLanda | Dorian Godon | 0 | 0 | 0 |
| GregLeBlonde | Dylan Teuns | 0 | 0 | 0 |
| Lyx97 | Enric Mas | 0 | 0 | 0 |
| Redskin44 | Junior Lecerf | 0 | 0 | 0 |
| derwipok | Lennert Van Eetvelt | 0 | 0 | 0 |
| LynniePinnie67 | Lennert Van Eetvelt | 0 | 0 | 0 |
| kootrtt | Magnus Cort | 0 | 0 | 0 |
| Norskov | Magnus Cort | 0 | 0 | 0 |
| Funny-Substance5576 | Marc Hirschi | 0 | 0 | 0 |
| beaker15 | Mattias Skjelmose | 0 | 0 | 0 |
| Sappert | Mattias Skjelmose | 0 | 0 | 0 |
| LJSchoppert | Maxim Van Gils | 0 | 0 | 0 |
| LurkasM1 | Maxim Van Gils | 0 | 0 | 0 |
| RaylanGivens8 | Maxim Van Gils | 0 | 0 | 0 |
| sunnyB8 | Maxim Van Gils | 0 | 0 | 0 |
| listenyall | Neilson Powless | 0 | 0 | 0 |
| BWallis17 | Oscar Onley | 0 | 0 | 0 |
| Team_Telekom | Oscar Onley | 0 | 0 | 0 |
| Verlichtingszucht | Stephen Williams | 0 | 0 | 0 |
The Top 30 finishers were:
| Rank | Rider | Picks | Base | Bonus |
|---|---|---|---|---|
| 1 | Tadej Pogacar | 5 | 180 | 0 |
| 2 | Kévin Vauquelin | 4 | 144 | 0 |
| 3 | Tom Pidcock | 3 | 108 | 0 |
| 4 | Lenny Martinez | 3 | 90 | 0 |
| 5 | Ben Healy | 2 | 81 | 0 |
| 6 | Santiago Buitrago | 1 | 72 | 38 |
| 7 | Romain Grégoire | 1 | 65 | 36 |
| 8 | Thibau Nys | 4 | 58 | 0 |
| 9 | Remco Evenepoel | 3 | 52 | 0 |
| 10 | Mauro Schmid | 2 | 47 | 0 |
| 11 | Guillaume Martin-Guyonnet | 0 | 43 | 0 |
| 12 | Tiesj Benoot | 3 | 40 | 0 |
| 13 | Jan Christen | 0 | 36 | 0 |
| 14 | Joe Blackmore | 0 | 32 | 0 |
| 15 | Brandon McNulty | 1 | 29 | 24 |
| 16 | Davide Formolo | 0 | 27 | 0 |
| 17 | Magnus Sheffield | 0 | 25 | 0 |
| 18 | Bastien Tronchon | 0 | 23 | 0 |
| 19 | Ben Tulett | 0 | 22 | 0 |
| 20 | Axel Laurance | 0 | 20 | 0 |
| 21 | Clément Champoussin | 0 | 18 | 0 |
| 22 | Julian Alaphilippe | 2 | 16 | 0 |
| 23 | Christian Scaroni | 0 | 14 | 0 |
| 24 | Louis Barré | 0 | 13 | 0 |
| 25 | Jørgen Nordhagen | 0 | 11 | 0 |
| 26 | Valentin Madouas | 0 | 9 | 0 |
| 27 | Ådne Holter | 0 | 7 | 0 |
| 28 | Simone Velasco | 0 | 5 | 0 |
| 29 | Mauri Vansevenant | 0 | 3 | 0 |
| 30 | Gal Glivar | 0 | 2 | 0 |
A total of 53 players entered:
| User | Pick | Base | Bonus | Score |
|---|---|---|---|---|
| Ok_Chipmunk_3854 | Mattias Skjelmose | 180 | 45 | 225 |
| yellow52 | Tiesj Benoot | 58 | 35 | 93 |
| beaker15 | Neilson Powless | 36 | 27 | 63 |
| Eyeconoclastic | Wout van Aert | 45 | 0 | 45 |
| iamczecksy | Wout van Aert | 45 | 0 | 45 |
| AwakenTheBacon_ | Michael Matthews | 27 | 0 | 27 |
| CadenceChallenged | Michael Matthews | 27 | 0 | 27 |
| LJSchoppert | Michael Matthews | 27 | 0 | 27 |
| fetamorphasis | Remco Evenepoel | 27 | 0 | 27 |
| ssfoxx27 | Remco Evenepoel | 27 | 0 | 27 |
| Team_Telekom | Remco Evenepoel | 27 | 0 | 27 |
| TheSlyBean | Remco Evenepoel | 27 | 0 | 27 |
| BSantos57 | Tom Pidcock | 26 | 0 | 26 |
| sudomakemetacos | Tom Pidcock | 26 | 0 | 26 |
| edlll91 | Tadej Pogacar | 24 | 0 | 24 |
| IPJBrennan | Tadej Pogacar | 24 | 0 | 24 |
| Jumpy-Cricket4744 | Tadej Pogacar | 24 | 0 | 24 |
| Kryziven | Tadej Pogacar | 24 | 0 | 24 |
| Nussig | Tadej Pogacar | 24 | 0 | 24 |
| Zeckesan | Tadej Pogacar | 24 | 0 | 24 |
| burden321 | Ben Healy | 23.5 | 0 | 23.5 |
| CudoLanda | Ben Healy | 23.5 | 0 | 23.5 |
| Redskin44 | Pello Bilbao | 11 | 9 | 20 |
| JDdieSonne | Romain Grégoire | 16.3 | 0 | 16.3 |
| MrR2D | Romain Grégoire | 16.3 | 0 | 16.3 |
| paulindy2000 | Romain Grégoire | 16.3 | 0 | 16.3 |
| wonderbeann | Romain Grégoire | 16.3 | 0 | 16.3 |
| djordastic | Thibau Nys | 13.3 | 0 | 13.3 |
| GregLeBlonde | Thibau Nys | 13.3 | 0 | 13.3 |
| LynniePinnie67 | Thibau Nys | 13.3 | 0 | 13.3 |
| Mattxps | Valentin Madouas | 11 | 0 | 11 |
| SparkleCrotchLover | Valentin Madouas | 11 | 0 | 11 |
| Funny-Substance5576 | Julian Alaphilippe | 10 | 0 | 10 |
| kootrtt | Julian Alaphilippe | 10 | 0 | 10 |
| andytheciderman | Alex Aranburu | 0 | 0 | 0 |
| Judas_Bishop | Alex Aranburu | 0 | 0 | 0 |
| Avila99 | Axel Laurance | 0 | 0 | 0 |
| derwipok | Axel Laurance | 0 | 0 | 0 |
| Verlichtingszucht | Axel Laurance | 0 | 0 | 0 |
| BWallis17 | Clément Champoussin | 0 | 0 | 0 |
| marleycats | Clément Champoussin | 0 | 0 | 0 |
| nahgoe16 | Finn Fisher-Black | 0 | 0 | 0 |
| sharkbait_hahaha | Fred Wright | 0 | 0 | 0 |
| alpal2214 | Magnus Sheffield | 0 | 0 | 0 |
| ser-seaworth | Marc Hirschi | 0 | 0 | 0 |
| Sappert | Max Schachmann | 0 | 0 | 0 |
| LurkasM1 | Maxim Van Gils | 0 | 0 | 0 |
| Divergee5 | Mick van Dijke | 0 | 0 | 0 |
| isaiahHat | Roger Adriá | 0 | 0 | 0 |
| DerpTrain | Simone Velasco | 0 | 0 | 0 |
| RaylanGivens8 | Simone Velasco | 0 | 0 | 0 |
| Lyx97 | Tobias Foss | 0 | 0 | 0 |
| listenyall | Toms Skujins | 0 | 0 | 0 |
The Top 30 finishers were:
| Rank | Rider | Picks | Base | Bonus |
|---|---|---|---|---|
| 1 | Mattias Skjelmose | 1 | 180 | 45 |
| 2 | Tadej Pogacar | 6 | 144 | 0 |
| 3 | Remco Evenepoel | 4 | 108 | 0 |
| 4 | Wout van Aert | 2 | 90 | 0 |
| 5 | Michael Matthews | 3 | 81 | 0 |
| 6 | Louis Barré | 0 | 72 | 0 |
| 7 | Romain Grégoire | 4 | 65 | 0 |
| 8 | Tiesj Benoot | 1 | 58 | 35 |
| 9 | Tom Pidcock | 2 | 52 | 0 |
| 10 | Ben Healy | 2 | 47 | 0 |
| 11 | Brandon McNulty | 0 | 43 | 0 |
| 12 | Thibau Nys | 3 | 40 | 0 |
| 13 | Neilson Powless | 1 | 36 | 27 |
| 14 | Joe Blackmore | 0 | 32 | 0 |
| 15 | Mauro Schmid | 0 | 29 | 0 |
| 16 | Quinten Hermans | 0 | 27 | 0 |
| 17 | Alexey Lutsenko | 0 | 25 | 0 |
| 18 | Alexander Kamp | 0 | 23 | 0 |
| 19 | Valentin Madouas | 2 | 22 | 0 |
| 20 | Julian Alaphilippe | 2 | 20 | 0 |
| 21 | Ben Tulett | 0 | 18 | 0 |
| 22 | Attila Valter | 0 | 16 | 0 |
| 23 | Alexandre Delettre | 0 | 14 | 0 |
| 24 | Mathieu Burgaudeau | 0 | 13 | 0 |
| 25 | Pello Bilbao | 1 | 11 | 9 |
| 26 | Frank van den Broek | 0 | 9 | 0 |
| 27 | Davide Formolo | 0 | 7 | 0 |
| 28 | Andreas Leknessund | 0 | 5 | 0 |
| 29 | Santiago Buitrago | 0 | 3 | 0 |
| 30 | Warren Barguil | 0 | 2 | 0 |
A total of 57 players entered:
| User | Pick | Base | Bonus | Score |
|---|---|---|---|---|
| Wateroski | Tadej Pogacar | 280 | 116 | 396 |
| MrR2D | Florian Vermeersch | 158 | 104 | 262 |
| Sappert | Madis Mihkels | 62 | 62 | 124 |
| Divergee5 | Mathieu van der Poel | 116.7 | 0 | 116.7 |
| edlll91 | Mathieu van der Poel | 116.7 | 0 | 116.7 |
| WiscMIIe | Mathieu van der Poel | 116.7 | 0 | 116.7 |
| nahgoe16 | Stefan Bissegger | 63 | 0 | 63 |
| Redskin44 | Stefan Bissegger | 63 | 0 | 63 |
| alpal2214 | Mads Pedersen | 52.5 | 0 | 52.5 |
| GregLeBlonde | Mads Pedersen | 52.5 | 0 | 52.5 |
| Kryziven | Mads Pedersen | 52.5 | 0 | 52.5 |
| ser-seaworth | Mads Pedersen | 52.5 | 0 | 52.5 |
| paaulo | António Morgado | 25 | 25 | 50 |
| RaylanGivens8 | Laurenz Rex | 45.5 | 0 | 45.5 |
| Verlichtingszucht | Laurenz Rex | 45.5 | 0 | 45.5 |
| Salty-Level | Jasper Philipsen | 42 | 0 | 42 |
| Team_Telekom | Jasper Philipsen | 42 | 0 | 42 |
| BWallis17 | Mike Teunissen | 26 | 0 | 26 |
| Judas_Bishop | Mike Teunissen | 26 | 0 | 26 |
| beaker15 | Wout van Aert | 25 | 0 | 25 |
| BSantos57 | Wout van Aert | 25 | 0 | 25 |
| Eyeconoclastic | Wout van Aert | 25 | 0 | 25 |
| fetamorphasis | Wout van Aert | 25 | 0 | 25 |
| iamczecksy | Wout van Aert | 25 | 0 | 25 |
| Nussig | Wout van Aert | 25 | 0 | 25 |
| sharkbait_hahaha | Wout van Aert | 25 | 0 | 25 |
| CadenceChallenged | Filippo Ganna | 14 | 0 | 14 |
| CudoLanda | Filippo Ganna | 14 | 0 | 14 |
| Lyx97 | Filippo Ganna | 14 | 0 | 14 |
| Ok_Chipmunk_3854 | Filippo Ganna | 14 | 0 | 14 |
| sudomakemetacos | Filippo Ganna | 14 | 0 | 14 |
| wonderbeann | Alexander Kristoff | 0 | 0 | 0 |
| paulindy2000 | Anthony Turgis | 0 | 0 | 0 |
| Avila99 | Dylan van Baarle | 0 | 0 | 0 |
| AwakenTheBacon_ | Gianni Vermeersch | 0 | 0 | 0 |
| Mattxps | Gianni Vermeersch | 0 | 0 | 0 |
| ssfoxx27 | Gianni Vermeersch | 0 | 0 | 0 |
| yellow52 | Gianni Vermeersch | 0 | 0 | 0 |
| DerpTrain | Iván García Cortina | 0 | 0 | 0 |
| listenyall | Jasper Stuyven | 0 | 0 | 0 |
| Norskov | Jasper Stuyven | 0 | 0 | 0 |
| Zeckesan | Jasper Stuyven | 0 | 0 | 0 |
| MaxAeroMustache | Jonas Abrahamsen | 0 | 0 | 0 |
| andytheciderman | Jonathan Milan | 0 | 0 | 0 |
| Big_Mike_S | Jordi Meeus | 0 | 0 | 0 |
| LJSchoppert | Jordi Meeus | 0 | 0 | 0 |
| isaiahHat | Laurence Pithie | 0 | 0 | 0 |
| LurkasM1 | Laurence Pithie | 0 | 0 | 0 |
| sunnyB8 | Lukas Kubis | 0 | 0 | 0 |
| djordastic | Matej Mohoric | 0 | 0 | 0 |
| marleycats | Max Walscheid | 0 | 0 | 0 |
| kootrtt | Nils Politt | 0 | 0 | 0 |
| Funny-Substance5576 | Søren Wærenskjold | 0 | 0 | 0 |
| LynniePinnie67 | Søren Wærenskjold | 0 | 0 | 0 |
| burden321 | Stefan Küng | 0 | 0 | 0 |
| JDdieSonne | Stefan Küng | 0 | 0 | 0 |
| vbarrielle | Stefan Küng | 0 | 0 | 0 |
The Top 30 finishers were:
| Rank | Rider | Picks | Base | Bonus |
|---|---|---|---|---|
| 1 | Mathieu van der Poel | 3 | 350 | 0 |
| 2 | Tadej Pogacar | 1 | 280 | 116 |
| 3 | Mads Pedersen | 4 | 210 | 0 |
| 4 | Wout van Aert | 7 | 175 | 0 |
| 5 | Florian Vermeersch | 1 | 158 | 104 |
| 6 | Jonas Rutsch | 0 | 140 | 0 |
| 7 | Stefan Bissegger | 2 | 126 | 0 |
| 8 | Markus Hoelgaard | 0 | 112 | 0 |
| 9 | Fred Wright | 0 | 101 | 0 |
| 10 | Laurenz Rex | 2 | 91 | 0 |
| 11 | Jasper Philipsen | 2 | 84 | 0 |
| 12 | Marco Haller | 0 | 78 | 0 |
| 13 | Filippo Ganna | 5 | 70 | 0 |
| 14 | Madis Mihkels | 1 | 62 | 62 |
| 15 | Biniam Girmay | 0 | 56 | 0 |
| 16 | Mike Teunissen | 2 | 52 | 0 |
| 17 | Daan Hoole | 0 | 48 | 0 |
| 18 | Mick van Dijke | 0 | 45 | 0 |
| 19 | Marius Mayrhofer | 0 | 42 | 0 |
| 20 | Taco van der Hoorn | 0 | 39 | 0 |
| 21 | Johan Jacobs | 0 | 35 | 0 |
| 22 | Dries De Bondt | 0 | 32 | 0 |
| 23 | Phil Bauhaus | 0 | 28 | 0 |
| 24 | António Morgado | 1 | 25 | 25 |
| 25 | Florian Dauphin | 0 | 21 | 0 |
| 26 | Erik Resell | 0 | 18 | 0 |
| 27 | Axel Huens | 0 | 14 | 0 |
| 28 | Yves Lampaert | 0 | 10 | 0 |
| 29 | Cees Bol | 0 | 8 | 0 |
| 30 | Tim van Dijke | 0 | 4 | 0 |
A total of 51 players entered:
| User | Pick | Base | Bonus | Score |
|---|---|---|---|---|
| Nussig | Enric Mas | 160 | 58 | 218 |
| Divergee5 | Ilan Van Wilder | 80 | 50 | 130 |
| sharkbait_hahaha | Guillaume Martin-Guyonnet | 44 | 38 | 82 |
| Team_Telekom | Santiago Buitrago | 40 | 36 | 76 |
| fewfiet | Joao Almeida | 66.7 | 0 | 66.7 |
| iamczecksy | Joao Almeida | 66.7 | 0 | 66.7 |
| TheSlyBean | Joao Almeida | 66.7 | 0 | 66.7 |
| LJSchoppert | Isaac del Toro | 32 | 32 | 64 |
| LynniePinnie67 | Wilco Kelderman | 28 | 28 | 56 |
| alpal2214 | Oscar Onley | 29 | 0 | 29 |
| BSantos57 | Oscar Onley | 29 | 0 | 29 |
| paulindy2000 | Romain Grégoire | 14 | 14 | 28 |
| burden321 | Clément Champoussin | 26 | 0 | 26 |
| ssfoxx27 | Clément Champoussin | 26 | 0 | 26 |
| JDdieSonne | Florian Lipowitz | 25 | 0 | 25 |
| LurkasM1 | Florian Lipowitz | 25 | 0 | 25 |
| MrR2D | Florian Lipowitz | 25 | 0 | 25 |
| RaylanGivens8 | Florian Lipowitz | 25 | 0 | 25 |
| Avila99 | Mattias Skjelmose | 12.9 | 0 | 12.9 |
| beaker15 | Mattias Skjelmose | 12.9 | 0 | 12.9 |
| derwipok | Mattias Skjelmose | 12.9 | 0 | 12.9 |
| djordastic | Mattias Skjelmose | 12.9 | 0 | 12.9 |
| Kryziven | Mattias Skjelmose | 12.9 | 0 | 12.9 |
| listenyall | Mattias Skjelmose | 12.9 | 0 | 12.9 |
| Norskov | Mattias Skjelmose | 12.9 | 0 | 12.9 |
| isaiahHat | Harold Tejada | 6.7 | 0 | 6.7 |
| Ok_Chipmunk_3854 | Harold Tejada | 6.7 | 0 | 6.7 |
| Verlichtingszucht | Harold Tejada | 6.7 | 0 | 6.7 |
| GregLeBlonde | Ben Healy | 1 | 0 | 1 |
| Redskin44 | Ben Healy | 1 | 0 | 1 |
| wonderbeann | Alex Baudin | 0 | 0 | 0 |
| sudomakemetacos | Axel Zingle | 0 | 0 | 0 |
| ser-seaworth | Bastien Tronchon | 0 | 0 | 0 |
| andytheciderman | Brandon McNulty | 0 | 0 | 0 |
| Funny-Substance5576 | Brandon McNulty | 0 | 0 | 0 |
| SparkleCrotchLover | Brandon McNulty | 0 | 0 | 0 |
| Lyx97 | Bruno Armirail | 0 | 0 | 0 |
| nahgoe16 | Edward Dunbar | 0 | 0 | 0 |
| AwakenTheBacon_ | Ion Izagirre | 0 | 0 | 0 |
| DerpTrain | Maxim Van Gils | 0 | 0 | 0 |
| edlll91 | Maxim Van Gils | 0 | 0 | 0 |
| yellow52 | Pablo Castrillo | 0 | 0 | 0 |
| Big_Mike_S | Pello Bilbao | 0 | 0 | 0 |
| BWallis17 | Pello Bilbao | 0 | 0 | 0 |
| CadenceChallenged | Pello Bilbao | 0 | 0 | 0 |
| CudoLanda | Pello Bilbao | 0 | 0 | 0 |
| fetamorphasis | Pello Bilbao | 0 | 0 | 0 |
| marleycats | Pello Bilbao | 0 | 0 | 0 |
| Sappert | Pello Bilbao | 0 | 0 | 0 |
| Zeckesan | Pello Bilbao | 0 | 0 | 0 |
| Judas_Bishop | Victor Langellotti | 0 | 0 | 0 |
The Top 30 finishers were:
| Rank | Rider | Picks | Base | Bonus |
|---|---|---|---|---|
| 1 | Joao Almeida | 3 | 200 | 0 |
| 2 | Enric Mas | 1 | 160 | 58 |
| 3 | Max Schachmann | 0 | 120 | 0 |
| 4 | Florian Lipowitz | 4 | 100 | 0 |
| 5 | Mattias Skjelmose | 7 | 90 | 0 |
| 6 | Ilan Van Wilder | 1 | 80 | 50 |
| 7 | Alex Aranburu | 0 | 72 | 0 |
| 8 | Simone Velasco | 0 | 64 | 0 |
| 9 | Oscar Onley | 2 | 58 | 0 |
| 10 | Clément Champoussin | 2 | 52 | 0 |
| 11 | Clément Berthet | 0 | 48 | 0 |
| 12 | Guillaume Martin-Guyonnet | 1 | 44 | 38 |
| 13 | Santiago Buitrago | 1 | 40 | 36 |
| 14 | Jordan Jegat | 0 | 36 | 0 |
| 15 | Isaac del Toro | 1 | 32 | 32 |
| 16 | Luca Vergallito | 0 | 30 | 0 |
| 17 | Wilco Kelderman | 1 | 28 | 28 |
| 18 | Steff Cras | 0 | 26 | 0 |
| 19 | Ivan Cobo | 0 | 24 | 0 |
| 20 | Axel Laurance | 0 | 22 | 0 |
| 21 | Harold Tejada | 3 | 20 | 0 |
| 22 | Brieuc Rolland | 0 | 18 | 0 |
| 23 | Unai Iribar | 0 | 16 | 0 |
| 24 | Romain Grégoire | 1 | 14 | 14 |
| 25 | Léo Bisiaux | 0 | 12 | 0 |
| 26 | Manuel Diaz Jose | 0 | 10 | 0 |
| 27 | Attila Valter | 0 | 8 | 0 |
| 28 | Warren Barguil | 0 | 6 | 0 |
| 29 | Yannis Voisard | 0 | 4 | 0 |
| 30 | Ben Healy | 2 | 2 | 0 |
A total of 59 players entered:
| User | Pick | Base | Bonus | Score |
|---|---|---|---|---|
| edlll91 | Mathieu van der Poel | 210 | 112 | 322 |
| Lyx97 | Filippo Ganna | 112 | 92 | 204 |
| LurkasM1 | Laurence Pithie | 84 | 80 | 164 |
| MaxAeroMustache | Mads Pedersen | 140 | 0 | 140 |
| Norskov | Mads Pedersen | 140 | 0 | 140 |
| DerpTrain | Gianni Vermeersch | 56 | 56 | 112 |
| fetamorphasis | Tiesj Benoot | 70 | 0 | 70 |
| ssfoxx27 | Tiesj Benoot | 70 | 0 | 70 |
| Wateroski | Fred Wright | 28 | 28 | 56 |
| Redskin44 | Rick Pluimers | 25 | 25 | 50 |
| fewfiet | Tadej Pogacar | 50 | 0 | 50 |
| Funny-Substance5576 | Tadej Pogacar | 50 | 0 | 50 |
| Kryziven | Tadej Pogacar | 50 | 0 | 50 |
| Nussig | Tadej Pogacar | 50 | 0 | 50 |
| sunnyB8 | Tadej Pogacar | 50 | 0 | 50 |
| TheSlyBean | Tadej Pogacar | 50 | 0 | 50 |
| Zeckesan | Tadej Pogacar | 50 | 0 | 50 |
| andytheciderman | Wout van Aert | 43.8 | 0 | 43.8 |
| beaker15 | Wout van Aert | 43.8 | 0 | 43.8 |
| CadenceChallenged | Wout van Aert | 43.8 | 0 | 43.8 |
| iamczecksy | Wout van Aert | 43.8 | 0 | 43.8 |
| Judas_Bishop | Rasmus Tiller | 21 | 21 | 42 |
| AwakenTheBacon_ | Laurenz Rex | 18 | 18 | 36 |
| Avila99 | Michael Matthews | 35 | 0 | 35 |
| Big_Mike_S | Michael Matthews | 35 | 0 | 35 |
| BSantos57 | Stefan Küng | 31.5 | 0 | 31.5 |
| isaiahHat | Stefan Küng | 31.5 | 0 | 31.5 |
| mcrorigan | Stefan Küng | 31.5 | 0 | 31.5 |
| RaylanGivens8 | Stefan Küng | 31.5 | 0 | 31.5 |
| paulindy2000 | Valentin Madouas | 24 | 0 | 24 |
| vbarrielle | Valentin Madouas | 24 | 0 | 24 |
| Sappert | Mick van Dijke | 8 | 8 | 16 |
| BWallis17 | Magnus Sheffield | 13 | 0 | 13 |
| LJSchoppert | Magnus Sheffield | 13 | 0 | 13 |
| yellow52 | Magnus Sheffield | 13 | 0 | 13 |
| Divergee5 | Matteo Trentin | 5.3 | 0 | 5.3 |
| marleycats | Matteo Trentin | 5.3 | 0 | 5.3 |
| Mattxps | Matteo Trentin | 5.3 | 0 | 5.3 |
| MrR2D | Matteo Trentin | 5.3 | 0 | 5.3 |
| Ok_Chipmunk_3854 | Matteo Trentin | 5.3 | 0 | 5.3 |
| Verlichtingszucht | Matteo Trentin | 5.3 | 0 | 5.3 |
| SparkleCrotchLover | Alec Segaert | 0 | 0 | 0 |
| paaulo | António Morgado | 0 | 0 | 0 |
| GregLeBlonde | Dries De Bondt | 0 | 0 | 0 |
| Eyeconoclastic | Dylan Teuns | 0 | 0 | 0 |
| djordastic | Jhonatan Narvaez | 0 | 0 | 0 |
| WiscMIIe | Jordi Meeus | 0 | 0 | 0 |
| burden321 | Lennert Van Eetvelt | 0 | 0 | 0 |
| derwipok | Lennert Van Eetvelt | 0 | 0 | 0 |
| wonderbeann | Lennert Van Eetvelt | 0 | 0 | 0 |
| JDdieSonne | Matteo Jorgenson | 0 | 0 | 0 |
| sudomakemetacos | Matteo Jorgenson | 0 | 0 | 0 |
| alpal2214 | Neilson Powless | 0 | 0 | 0 |
| Xcpa9 | Neilson Powless | 0 | 0 | 0 |
| Team_Telekom | Nils Politt | 0 | 0 | 0 |
| listenyall | Toms Skujins | 0 | 0 | 0 |
| nahgoe16 | Toms Skujins | 0 | 0 | 0 |
| LynniePinnie67 | Yves Lampaert | 0 | 0 | 0 |
| ser-seaworth | Yves Lampaert | 0 | 0 | 0 |
The Top 30 finishers were:
| Rank | Rider | Picks | Base | Bonus |
|---|---|---|---|---|
| 1 | Tadej Pogacar | 7 | 350 | 0 |
| 2 | Mads Pedersen | 2 | 280 | 0 |
| 3 | Mathieu van der Poel | 1 | 210 | 112 |
| 4 | Wout van Aert | 4 | 175 | 0 |
| 5 | Jasper Stuyven | 0 | 158 | 0 |
| 6 | Tiesj Benoot | 2 | 140 | 0 |
| 7 | Stefan Küng | 4 | 126 | 0 |
| 8 | Filippo Ganna | 1 | 112 | 92 |
| 9 | Iván García Cortina | 0 | 101 | 0 |
| 10 | Davide Ballerini | 0 | 91 | 0 |
| 11 | Laurence Pithie | 1 | 84 | 80 |
| 12 | Mike Teunissen | 0 | 78 | 0 |
| 13 | Michael Matthews | 2 | 70 | 0 |
| 14 | Markus Hoelgaard | 0 | 62 | 0 |
| 15 | Gianni Vermeersch | 1 | 56 | 56 |
| 16 | Aurélien Paret-Peintre | 0 | 52 | 0 |
| 17 | Valentin Madouas | 2 | 48 | 0 |
| 18 | Timo Kielich | 0 | 45 | 0 |
| 19 | Stefan Bissegger | 0 | 42 | 0 |
| 20 | Magnus Sheffield | 3 | 39 | 0 |
| 21 | Matej Mohoric | 0 | 35 | 0 |
| 22 | Matteo Trentin | 6 | 32 | 0 |
| 23 | Fred Wright | 1 | 28 | 28 |
| 24 | Rick Pluimers | 1 | 25 | 25 |
| 25 | Rasmus Tiller | 1 | 21 | 21 |
| 26 | Laurenz Rex | 1 | 18 | 18 |
| 27 | Yevgeniy Fedorov | 0 | 14 | 0 |
| 28 | Aimé De Gendt | 0 | 10 | 0 |
| 29 | Mick van Dijke | 1 | 8 | 8 |
| 30 | Owain Doull | 0 | 4 | 0 |
A total of 52 players entered:
| User | Pick | Base | Bonus | Score |
|---|---|---|---|---|
| Funny-Substance5576 | Neilson Powless | 120 | 30 | 150 |
| yellow52 | Dries De Bondt | 48 | 24 | 72 |
| AwakenTheBacon_ | Tiesj Benoot | 37.5 | 0 | 37.5 |
| Big_Mike_S | Tiesj Benoot | 37.5 | 0 | 37.5 |
| burden321 | Biniam Girmay | 19 | 14 | 33 |
| Avila99 | Tibor Del Grosso | 27 | 0 | 27 |
| Mattxps | Tibor Del Grosso | 27 | 0 | 27 |
| JDdieSonne | Matteo Jorgenson | 22.7 | 0 | 22.7 |
| Lyx97 | Matteo Jorgenson | 22.7 | 0 | 22.7 |
| Verlichtingszucht | Matteo Jorgenson | 22.7 | 0 | 22.7 |
| Norskov | Mikkel Bjerg | 11 | 10 | 21 |
| andytheciderman | Wout van Aert | 15 | 0 | 15 |
| CadenceChallenged | Wout van Aert | 15 | 0 | 15 |
| djordastic | Wout van Aert | 15 | 0 | 15 |
| GregLeBlonde | Wout van Aert | 15 | 0 | 15 |
| iamczecksy | Wout van Aert | 15 | 0 | 15 |
| ser-seaworth | Wout van Aert | 15 | 0 | 15 |
| fewfiet | Mads Pedersen | 12 | 0 | 12 |
| listenyall | Mads Pedersen | 12 | 0 | 12 |
| Nussig | Mads Pedersen | 12 | 0 | 12 |
| TheSlyBean | Mads Pedersen | 12 | 0 | 12 |
| Zeckesan | Mads Pedersen | 12 | 0 | 12 |
| LJSchoppert | Jasper Stuyven | 8.5 | 0 | 8.5 |
| MrR2D | Jasper Stuyven | 8.5 | 0 | 8.5 |
| BSantos57 | Stefan Küng | 7.8 | 0 | 7.8 |
| BWallis17 | Stefan Küng | 7.8 | 0 | 7.8 |
| CudoLanda | Stefan Küng | 7.8 | 0 | 7.8 |
| ssfoxx27 | Stefan Küng | 7.8 | 0 | 7.8 |
| sudomakemetacos | Stefan Küng | 7.8 | 0 | 7.8 |
| Judas_Bishop | John Degenkolb | 1 | 1 | 2 |
| alpal2214 | Magnus Sheffield | 2 | 0 | 2 |
| isaiahHat | Magnus Sheffield | 2 | 0 | 2 |
| sharkbait_hahaha | Magnus Sheffield | 2 | 0 | 2 |
| WiscMIIe | Alexander Kristoff | 0 | 0 | 0 |
| paaulo | António Morgado | 0 | 0 | 0 |
| LynniePinnie67 | Florian Vermeersch | 0 | 0 | 0 |
| tiwnuja | Jasper Philipsen | 0 | 0 | 0 |
| DerpTrain | Jenno Berckmoes | 0 | 0 | 0 |
| Eyeconoclastic | Jenno Berckmoes | 0 | 0 | 0 |
| Redskin44 | Jenno Berckmoes | 0 | 0 | 0 |
| beaker15 | Jhonatan Narvaez | 0 | 0 | 0 |
| Ok_Chipmunk_3854 | Jhonatan Narvaez | 0 | 0 | 0 |
| fetamorphasis | Jonathan Milan | 0 | 0 | 0 |
| LurkasM1 | Jordi Meeus | 0 | 0 | 0 |
| marleycats | Kaden Groves | 0 | 0 | 0 |
| wonderbeann | Kaden Groves | 0 | 0 | 0 |
| RaylanGivens8 | Matis Louvel | 0 | 0 | 0 |
| Team_Telekom | Nils Politt | 0 | 0 | 0 |
| SparkleCrotchLover | Paul Magnier | 0 | 0 | 0 |
| Divergee5 | Søren Wærenskjold | 0 | 0 | 0 |
| paulindy2000 | Valentin Madouas | 0 | 0 | 0 |
| vbarrielle | Valentin Madouas | 0 | 0 | 0 |
The Top 30 finishers were:
| Rank | Rider | Picks | Base | Bonus |
|---|---|---|---|---|
| 1 | Neilson Powless | 1 | 120 | 30 |
| 2 | Wout van Aert | 6 | 90 | 0 |
| 3 | Tiesj Benoot | 2 | 75 | 0 |
| 4 | Matteo Jorgenson | 3 | 68 | 0 |
| 5 | Mads Pedersen | 5 | 60 | 0 |
| 6 | Tibor Del Grosso | 2 | 54 | 0 |
| 7 | Dries De Bondt | 1 | 48 | 24 |
| 8 | Arjen Livyns | 0 | 44 | 0 |
| 9 | Stefan Küng | 5 | 39 | 0 |
| 10 | Alec Segaert | 0 | 36 | 0 |
| 11 | Rasmus Tiller | 0 | 33 | 0 |
| 12 | Pierre Gautherat | 0 | 30 | 0 |
| 13 | Cees Bol | 0 | 27 | 0 |
| 14 | Marijn van den Berg | 0 | 25 | 0 |
| 15 | Mick van Dijke | 0 | 23 | 0 |
| 16 | Fred Wright | 0 | 21 | 0 |
| 17 | Biniam Girmay | 1 | 19 | 14 |
| 18 | Jasper Stuyven | 2 | 17 | 0 |
| 19 | Yves Lampaert | 0 | 15 | 0 |
| 20 | Joe Blackmore | 0 | 13 | 0 |
| 21 | Mikkel Bjerg | 1 | 11 | 10 |
| 22 | Mikkel Honore | 0 | 9 | 0 |
| 23 | Dylan van Baarle | 0 | 8 | 0 |
| 24 | Bryan Coquard | 0 | 7 | 0 |
| 25 | Magnus Sheffield | 3 | 6 | 0 |
| 26 | Markus Hoelgaard | 0 | 5 | 0 |
| 27 | Rick Pluimers | 0 | 4 | 0 |
| 28 | Laurenz Rex | 0 | 3 | 0 |
| 29 | Tom Van Asbroeck | 0 | 2 | 0 |
| 30 | John Degenkolb | 1 | 1 | 1 |
A total of 55 players entered:
| User | Pick | Base | Bonus | Score |
|---|---|---|---|---|
| burden321 | Alexander Kristoff | 90 | 41 | 131 |
| derwipok | Hugo Hofstetter | 81 | 39 | 120 |
| wonderbeann | Laurenz Rex | 47 | 32 | 79 |
| Nussig | Jonathan Milan | 54 | 0 | 54 |
| Zeckesan | Jonathan Milan | 54 | 0 | 54 |
| LynniePinnie67 | Florian Vermeersch | 14 | 12 | 26 |
| djordastic | Mads Pedersen | 25.7 | 0 | 25.7 |
| fetamorphasis | Mads Pedersen | 25.7 | 0 | 25.7 |
| fewfiet | Mads Pedersen | 25.7 | 0 | 25.7 |
| iamczecksy | Mads Pedersen | 25.7 | 0 | 25.7 |
| listenyall | Mads Pedersen | 25.7 | 0 | 25.7 |
| Lyx97 | Mads Pedersen | 25.7 | 0 | 25.7 |
| TheSlyBean | Mads Pedersen | 25.7 | 0 | 25.7 |
| beaker15 | Biniam Girmay | 21.7 | 0 | 21.7 |
| BSantos57 | Biniam Girmay | 21.7 | 0 | 21.7 |
| CudoLanda | Biniam Girmay | 21.7 | 0 | 21.7 |
| isaiahHat | Madis Mihkels | 16 | 0 | 16 |
| Redskin44 | Madis Mihkels | 16 | 0 | 16 |
| ser-seaworth | Matteo Trentin | 14.5 | 0 | 14.5 |
| yellow52 | Matteo Trentin | 14.5 | 0 | 14.5 |
| BWallis17 | Mike Teunissen | 13.5 | 0 | 13.5 |
| RaylanGivens8 | Mike Teunissen | 13.5 | 0 | 13.5 |
| LurkasM1 | Jordi Meeus | 10.4 | 0 | 10.4 |
| marleycats | Jordi Meeus | 10.4 | 0 | 10.4 |
| Mattxps | Jordi Meeus | 10.4 | 0 | 10.4 |
| tiwnuja | Jordi Meeus | 10.4 | 0 | 10.4 |
| Verlichtingszucht | Jordi Meeus | 10.4 | 0 | 10.4 |
| JDdieSonne | Matteo Jorgenson | 1 | 0 | 1 |
| WiscMIIe | Matteo Jorgenson | 1 | 0 | 1 |
| Avila99 | Danny van Poppel | 0 | 0 | 0 |
| sudomakemetacos | Filippo Ganna | 0 | 0 | 0 |
| Funny-Substance5576 | Jasper Philipsen | 0 | 0 | 0 |
| GregLeBlonde | Jasper Philipsen | 0 | 0 | 0 |
| Kryziven | Jasper Philipsen | 0 | 0 | 0 |
| LJSchoppert | Jasper Stuyven | 0 | 0 | 0 |
| nahgoe16 | Jonas Abrahamsen | 0 | 0 | 0 |
| SparkleCrotchLover | Joshua Tarling | 0 | 0 | 0 |
| ssfoxx27 | Lewis Askey | 0 | 0 | 0 |
| vbarrielle | Lewis Askey | 0 | 0 | 0 |
| DerpTrain | Michael Matthews | 0 | 0 | 0 |
| Xcpa9 | Michael Matthews | 0 | 0 | 0 |
| Divergee5 | Michael Valgren | 0 | 0 | 0 |
| CadenceChallenged | Olav Kooij | 0 | 0 | 0 |
| Team_Telekom | Olav Kooij | 0 | 0 | 0 |
| sharkbait_hahaha | Pascal Ackermann | 0 | 0 | 0 |
| paulindy2000 | Paul Magnier | 0 | 0 | 0 |
| Eyeconoclastic | Phil Bauhaus | 0 | 0 | 0 |
| Ok_Chipmunk_3854 | Sam Bennett | 0 | 0 | 0 |
| andytheciderman | Sam Watson | 0 | 0 | 0 |
| Judas_Bishop | Sam Watson | 0 | 0 | 0 |
| MrR2D | Søren Wærenskjold | 0 | 0 | 0 |
| alpal2214 | Tim Wellens | 0 | 0 | 0 |
| Big_Mike_S | Tim Wellens | 0 | 0 | 0 |
| Norskov | Tobias Lund Andresen | 0 | 0 | 0 |
| AwakenTheBacon_ | Vincenzo Albanese | 0 | 0 | 0 |
The Top 30 finishers were:
| Rank | Rider | Picks | Base | Bonus |
|---|---|---|---|---|
| 1 | Mads Pedersen | 7 | 180 | 0 |
| 2 | Tim Merlier | 0 | 144 | 0 |
| 3 | Jonathan Milan | 2 | 108 | 0 |
| 4 | Alexander Kristoff | 1 | 90 | 41 |
| 5 | Hugo Hofstetter | 1 | 81 | 39 |
| 6 | Davide Ballerini | 0 | 72 | 0 |
| 7 | Biniam Girmay | 3 | 65 | 0 |
| 8 | Jenno Berckmoes | 0 | 58 | 0 |
| 9 | Jordi Meeus | 5 | 52 | 0 |
| 10 | Laurenz Rex | 1 | 47 | 32 |
| 11 | John Degenkolb | 0 | 43 | 0 |
| 12 | Anthony Turgis | 0 | 40 | 0 |
| 13 | Clément Russo | 0 | 36 | 0 |
| 14 | Madis Mihkels | 2 | 32 | 0 |
| 15 | Matteo Trentin | 2 | 29 | 0 |
| 16 | Mike Teunissen | 2 | 27 | 0 |
| 17 | Matis Louvel | 0 | 25 | 0 |
| 18 | Yevgeniy Fedorov | 0 | 23 | 0 |
| 19 | Tiesj Benoot | 0 | 22 | 0 |
| 20 | Carlos Canal | 0 | 20 | 0 |
| 21 | Oliver Naesen | 0 | 18 | 0 |
| 22 | Dries De Bondt | 0 | 16 | 0 |
| 23 | Florian Vermeersch | 1 | 14 | 12 |
| 24 | Iván García Cortina | 0 | 13 | 0 |
| 25 | Ben Turner | 0 | 11 | 0 |
| 26 | Aimé De Gendt | 0 | 9 | 0 |
| 27 | Laurence Pithie | 0 | 7 | 0 |
| 28 | Owain Doull | 0 | 5 | 0 |
| 29 | Stefan Bissegger | 0 | 3 | 0 |
| 30 | Matteo Jorgenson | 2 | 2 | 0 |
A total of 54 players entered:
| User | Pick | Base | Bonus | Score |
|---|---|---|---|---|
| Nussig | Filippo Ganna | 108 | 42 | 150 |
| JDdieSonne | Matteo Jorgenson | 52 | 33 | 85 |
| DerpTrain | Mike Teunissen | 47 | 32 | 79 |
| CadenceChallenged | Mads Pedersen | 72 | 0 | 72 |
| edlll91 | Mads Pedersen | 72 | 0 | 72 |
| AwakenTheBacon_ | Matteo Trentin | 32 | 26 | 58 |
| Team_Telekom | Nils Politt | 23 | 20 | 43 |
| ser-seaworth | Tim van Dijke | 22 | 18 | 40 |
| fewfiet | Mathieu van der Poel | 36 | 0 | 36 |
| Funny-Substance5576 | Mathieu van der Poel | 36 | 0 | 36 |
| Kryziven | Mathieu van der Poel | 36 | 0 | 36 |
| Lyx97 | Mathieu van der Poel | 36 | 0 | 36 |
| TheSlyBean | Mathieu van der Poel | 36 | 0 | 36 |
| isaiahHat | Stefan Küng | 36 | 0 | 36 |
| Verlichtingszucht | Stefan Küng | 36 | 0 | 36 |
| beaker15 | Biniam Girmay | 16 | 14 | 30 |
| listenyall | Toms Skujins | 21.5 | 0 | 21.5 |
| Mattxps | Toms Skujins | 21.5 | 0 | 21.5 |
| BSantos57 | Tim Wellens | 19.3 | 0 | 19.3 |
| BWallis17 | Tim Wellens | 19.3 | 0 | 19.3 |
| CudoLanda | Tim Wellens | 19.3 | 0 | 19.3 |
| paulindy2000 | Valentin Madouas | 12.5 | 0 | 12.5 |
| vbarrielle | Valentin Madouas | 12.5 | 0 | 12.5 |
| derwipok | Florian Vermeersch | 6.5 | 0 | 6.5 |
| LynniePinnie67 | Florian Vermeersch | 6.5 | 0 | 6.5 |
| andytheciderman | Wout van Aert | 4.8 | 0 | 4.8 |
| djordastic | Wout van Aert | 4.8 | 0 | 4.8 |
| fetamorphasis | Wout van Aert | 4.8 | 0 | 4.8 |
| GregLeBlonde | Wout van Aert | 4.8 | 0 | 4.8 |
| iamczecksy | Wout van Aert | 4.8 | 0 | 4.8 |
| sudomakemetacos | Wout van Aert | 4.8 | 0 | 4.8 |
| Divergee5 | Michael Matthews | 3.5 | 0 | 3.5 |
| Ok_Chipmunk_3854 | Michael Matthews | 3.5 | 0 | 3.5 |
| sharkbait_hahaha | Alberto Bettiol | 0 | 0 | 0 |
| LJSchoppert | António Morgado | 0 | 0 | 0 |
| WiscMIIe | António Morgado | 0 | 0 | 0 |
| Eyeconoclastic | Fred Wright | 0 | 0 | 0 |
| RaylanGivens8 | Fred Wright | 0 | 0 | 0 |
| MaxAeroMustache | Jonas Abrahamsen | 0 | 0 | 0 |
| LurkasM1 | Jordi Meeus | 0 | 0 | 0 |
| Avila99 | Joshua Tarling | 0 | 0 | 0 |
| Redskin44 | Joshua Tarling | 0 | 0 | 0 |
| wonderbeann | Joshua Tarling | 0 | 0 | 0 |
| Zeckesan | Joshua Tarling | 0 | 0 | 0 |
| MrR2D | Laurence Pithie | 0 | 0 | 0 |
| nahgoe16 | Markus Hoelgaard | 0 | 0 | 0 |
| Norskov | Markus Hoelgaard | 0 | 0 | 0 |
| ZBGT | Markus Hoelgaard | 0 | 0 | 0 |
| alpal2214 | Neilson Powless | 0 | 0 | 0 |
| tiwnuja | Oier Lazkano | 0 | 0 | 0 |
| Xcpa9 | Oier Lazkano | 0 | 0 | 0 |
| marleycats | Torn Teutenberg Tim | 0 | 0 | 0 |
| Big_Mike_S | Vincenzo Albanese | 0 | 0 | 0 |
| Judas_Bishop | Vincenzo Albanese | 0 | 0 | 0 |
The Top 30 finishers were:
| Rank | Rider | Picks | Base | Bonus |
|---|---|---|---|---|
| 1 | Mathieu van der Poel | 5 | 180 | 0 |
| 2 | Mads Pedersen | 2 | 144 | 0 |
| 3 | Filippo Ganna | 1 | 108 | 42 |
| 4 | Casper Pedersen | 0 | 90 | 0 |
| 5 | Jasper Stuyven | 0 | 81 | 0 |
| 6 | Stefan Küng | 2 | 72 | 0 |
| 7 | Aimé De Gendt | 0 | 65 | 0 |
| 8 | Tim Wellens | 3 | 58 | 0 |
| 9 | Matteo Jorgenson | 1 | 52 | 33 |
| 10 | Mike Teunissen | 1 | 47 | 32 |
| 11 | Toms Skujins | 2 | 43 | 0 |
| 12 | Oliver Naesen | 0 | 40 | 0 |
| 13 | Yevgeniy Fedorov | 0 | 36 | 0 |
| 14 | Matteo Trentin | 1 | 32 | 26 |
| 15 | Wout van Aert | 6 | 29 | 0 |
| 16 | Gianni Vermeersch | 0 | 27 | 0 |
| 17 | Valentin Madouas | 2 | 25 | 0 |
| 18 | Nils Politt | 1 | 23 | 20 |
| 19 | Tim van Dijke | 1 | 22 | 18 |
| 20 | Tiesj Benoot | 0 | 20 | 0 |
| 21 | Matis Louvel | 0 | 18 | 0 |
| 22 | Biniam Girmay | 1 | 16 | 14 |
| 23 | Arjen Livyns | 0 | 14 | 0 |
| 24 | Florian Vermeersch | 2 | 13 | 0 |
| 25 | Iván García Cortina | 0 | 11 | 0 |
| 26 | Pierre Gautherat | 0 | 9 | 0 |
| 27 | Michael Matthews | 2 | 7 | 0 |
| 28 | Carlos Canal | 0 | 5 | 0 |
| 29 | Anthony Turgis | 0 | 3 | 0 |
| 30 | Jenno Berckmoes | 0 | 2 | 0 |
A total of 55 players entered:
| User | Pick | Base | Bonus | Score |
|---|---|---|---|---|
| CadenceChallenged | Sebastian Molano | 60 | 0 | 60 |
| derwipok | Sebastian Molano | 60 | 0 | 60 |
| ser-seaworth | Luca Mozzato | 33 | 20 | 53 |
| alpal2214 | Phil Bauhaus | 22.7 | 0 | 22.7 |
| isaiahHat | Phil Bauhaus | 22.7 | 0 | 22.7 |
| yellow52 | Phil Bauhaus | 22.7 | 0 | 22.7 |
| RaylanGivens8 | Emilien Jeannière | 9 | 9 | 18 |
| djordastic | Jonathan Milan | 12.9 | 0 | 12.9 |
| edlll91 | Jonathan Milan | 12.9 | 0 | 12.9 |
| Eyeconoclastic | Jonathan Milan | 12.9 | 0 | 12.9 |
| listenyall | Jonathan Milan | 12.9 | 0 | 12.9 |
| Mattxps | Jonathan Milan | 12.9 | 0 | 12.9 |
| Nussig | Jonathan Milan | 12.9 | 0 | 12.9 |
| Xcpa9 | Jonathan Milan | 12.9 | 0 | 12.9 |
| Judas_Bishop | Danny van Poppel | 9.5 | 0 | 9.5 |
| ssfoxx27 | Danny van Poppel | 9.5 | 0 | 9.5 |
| CudoLanda | Tobias Lund Andresen | 5.5 | 0 | 5.5 |
| Norskov | Tobias Lund Andresen | 5.5 | 0 | 5.5 |
| LurkasM1 | Alexander Kristoff | 0 | 0 | 0 |
| paaulo | António Morgado | 0 | 0 | 0 |
| MrR2D | Arnaud Démare | 0 | 0 | 0 |
| Ok_Chipmunk_3854 | Arnaud Démare | 0 | 0 | 0 |
| paulindy2000 | Arnaud Démare | 0 | 0 | 0 |
| wonderbeann | Arnaud Démare | 0 | 0 | 0 |
| Divergee5 | Arvid de Kleijn | 0 | 0 | 0 |
| Avila99 | Casper van Uden | 0 | 0 | 0 |
| andytheciderman | Filippo Baroncini | 0 | 0 | 0 |
| JDdieSonne | Gerben Thijssen | 0 | 0 | 0 |
| Redskin44 | Gerben Thijssen | 0 | 0 | 0 |
| AwakenTheBacon_ | Hugo Hofstetter | 0 | 0 | 0 |
| Big_Mike_S | Jasper Philipsen | 0 | 0 | 0 |
| BWallis17 | Jasper Philipsen | 0 | 0 | 0 |
| Funny-Substance5576 | Jasper Philipsen | 0 | 0 | 0 |
| iamczecksy | Jasper Philipsen | 0 | 0 | 0 |
| Lyx97 | Jasper Philipsen | 0 | 0 | 0 |
| Verlichtingszucht | Lukas Kubis | 0 | 0 | 0 |
| marleycats | Maikel Zijlaard | 0 | 0 | 0 |
| fetamorphasis | Matthew Brennan | 0 | 0 | 0 |
| nahgoe16 | Matthew Walls | 0 | 0 | 0 |
| DerpTrain | Milan Fretin | 0 | 0 | 0 |
| Team_Telekom | Milan Fretin | 0 | 0 | 0 |
| SparkleCrotchLover | Paul Penhoët | 0 | 0 | 0 |
| ZBGT | Pierre Barbier | 0 | 0 | 0 |
| BSantos57 | Søren Wærenskjold | 0 | 0 | 0 |
| LJSchoppert | Søren Wærenskjold | 0 | 0 | 0 |
| sharkbait_hahaha | Søren Wærenskjold | 0 | 0 | 0 |
| sudomakemetacos | Søren Wærenskjold | 0 | 0 | 0 |
| fewfiet | Tim Merlier | 0 | 0 | 0 |
| GregLeBlonde | Tim Merlier | 0 | 0 | 0 |
| Kryziven | Tim Merlier | 0 | 0 | 0 |
| sunnyB8 | Tim Merlier | 0 | 0 | 0 |
| tiwnuja | Tim Merlier | 0 | 0 | 0 |
| Zeckesan | Tim Merlier | 0 | 0 | 0 |
| LynniePinnie67 | Tomas Kopecky | 0 | 0 | 0 |
| beaker15 | Yves Lampaert | 0 | 0 | 0 |
The Top 30 finishers were:
| Rank | Rider | Picks | Base | Bonus |
|---|---|---|---|---|
| 1 | Sebastian Molano | 2 | 120 | 0 |
| 2 | Jonathan Milan | 7 | 90 | 0 |
| 3 | Madis Mihkels | 0 | 75 | 0 |
| 4 | Phil Bauhaus | 3 | 68 | 0 |
| 5 | Erlend Blikra | 0 | 60 | 0 |
| 6 | Max Kanter | 0 | 54 | 0 |
| 7 | Alexis Renard | 0 | 48 | 0 |
| 8 | Laurenz Rex | 0 | 44 | 0 |
| 9 | Dylan Groenewegen | 0 | 39 | 0 |
| 10 | Sam Welsford | 0 | 36 | 0 |
| 11 | Luca Mozzato | 1 | 33 | 20 |
| 12 | Riley Pickrell | 0 | 30 | 0 |
| 13 | Davide Bomboi | 0 | 27 | 0 |
| 14 | Fabio Van den Bossche | 0 | 25 | 0 |
| 15 | Luke Lamperti | 0 | 23 | 0 |
| 16 | Yevgeniy Fedorov | 0 | 21 | 0 |
| 17 | Danny van Poppel | 2 | 19 | 0 |
| 18 | Simone Consonni | 0 | 17 | 0 |
| 19 | Clément Russo | 0 | 15 | 0 |
| 20 | Jonas Rickaert | 0 | 13 | 0 |
| 21 | Tobias Lund Andresen | 2 | 11 | 0 |
| 22 | Emilien Jeannière | 1 | 9 | 9 |
| 23 | Orluis Aular | 0 | 8 | 0 |
| 24 | Lorrenzo Manzin | 0 | 7 | 0 |
| 25 | Davide Ballerini | 0 | 6 | 0 |
| 26 | Johan Jacobs | 0 | 5 | 0 |
| 27 | Erik Resell | 0 | 4 | 0 |
| 28 | Steffen De Schuyteneer | 0 | 3 | 0 |
| 29 | Tom Van Asbroeck | 0 | 2 | 0 |
| 30 | Giosue Epis | 0 | 1 | 0 |
A total of 55 players entered:
| User | Pick | Base | Bonus | Score |
|---|---|---|---|---|
| beaker15 | Enric Mas | 120 | 56 | 176 |
| Redskin44 | Laurens De Plus | 80 | 50 | 130 |
| fewfiet | Juan Ayuso | 53.3 | 0 | 53.3 |
| Funny-Substance5576 | Juan Ayuso | 53.3 | 0 | 53.3 |
| iamczecksy | Juan Ayuso | 53.3 | 0 | 53.3 |
| DerpTrain | Primoz Roglic | 50 | 0 | 50 |
| fetamorphasis | Primoz Roglic | 50 | 0 | 50 |
| Lyx97 | Primoz Roglic | 50 | 0 | 50 |
| sunnyB8 | Primoz Roglic | 50 | 0 | 50 |
| LynniePinnie67 | Wilco Kelderman | 20 | 20 | 40 |
| sudomakemetacos | Egan Bernal | 36 | 0 | 36 |
| Xcpa9 | Egan Bernal | 36 | 0 | 36 |
| Ok_Chipmunk_3854 | Sepp Kuss | 16 | 16 | 32 |
| Divergee5 | Richard Carapaz | 26 | 0 | 26 |
| Verlichtingszucht | Richard Carapaz | 26 | 0 | 26 |
| Big_Mike_S | Mikel Landa | 25 | 0 | 25 |
| CadenceChallenged | Mikel Landa | 25 | 0 | 25 |
| Nussig | Mikel Landa | 25 | 0 | 25 |
| ser-seaworth | Mikel Landa | 25 | 0 | 25 |
| GregLeBlonde | Lennert Van Eetvelt | 21.3 | 0 | 21.3 |
| LurkasM1 | Lennert Van Eetvelt | 21.3 | 0 | 21.3 |
| Zeckesan | Lennert Van Eetvelt | 21.3 | 0 | 21.3 |
| MrR2D | Lenny Martinez | 18 | 0 | 18 |
| paulindy2000 | Lenny Martinez | 18 | 0 | 18 |
| SparkleCrotchLover | Lenny Martinez | 18 | 0 | 18 |
| vbarrielle | Lenny Martinez | 18 | 0 | 18 |
| wonderbeann | Lenny Martinez | 18 | 0 | 18 |
| nahgoe16 | Matthew Riccitello | 16 | 0 | 16 |
| tiwnuja | Matthew Riccitello | 16 | 0 | 16 |
| ZBGT | Matthew Riccitello | 16 | 0 | 16 |
| djordastic | Ben O'Connor | 11 | 0 | 11 |
| listenyall | Ben O'Connor | 11 | 0 | 11 |
| LJSchoppert | Ben O'Connor | 11 | 0 | 11 |
| yellow52 | Ben O'Connor | 11 | 0 | 11 |
| AwakenTheBacon_ | Lorenzo Fortunato | 11 | 0 | 11 |
| RaylanGivens8 | Lorenzo Fortunato | 11 | 0 | 11 |
| andytheciderman | Cristian Rodriguez | 7 | 0 | 7 |
| mcrorigan | Cristian Rodriguez | 7 | 0 | 7 |
| derwipok | Marc Soler | 5 | 0 | 5 |
| Eyeconoclastic | Marc Soler | 5 | 0 | 5 |
| WiscMIIe | Adam Yates | 0 | 0 | 0 |
| Judas_Bishop | Eric Fagundez | 0 | 0 | 0 |
| alpal2214 | Felix Gall | 0 | 0 | 0 |
| Avila99 | Felix Gall | 0 | 0 | 0 |
| BSantos57 | Felix Gall | 0 | 0 | 0 |
| burden321 | Felix Gall | 0 | 0 | 0 |
| sharkbait_hahaha | Felix Gall | 0 | 0 | 0 |
| Sappert | Frank van den Broek | 0 | 0 | 0 |
| isaiahHat | Georg Steinhauser | 0 | 0 | 0 |
| BWallis17 | Tao Geoghegan Hart | 0 | 0 | 0 |
| JDdieSonne | Tao Geoghegan Hart | 0 | 0 | 0 |
| marleycats | Tao Geoghegan Hart | 0 | 0 | 0 |
| Norskov | Tao Geoghegan Hart | 0 | 0 | 0 |
| Team_Telekom | Tao Geoghegan Hart | 0 | 0 | 0 |
| ssfoxx27 | Urko Berrade | 0 | 0 | 0 |
The Top 30 finishers were:
| Rank | Rider | Picks | Base | Bonus |
|---|---|---|---|---|
| 1 | Primoz Roglic | 4 | 200 | 0 |
| 2 | Juan Ayuso | 3 | 160 | 0 |
| 3 | Enric Mas | 1 | 120 | 56 |
| 4 | Mikel Landa | 4 | 100 | 0 |
| 5 | Lenny Martinez | 5 | 90 | 0 |
| 6 | Laurens De Plus | 1 | 80 | 50 |
| 7 | Egan Bernal | 2 | 72 | 0 |
| 8 | Lennert Van Eetvelt | 3 | 64 | 0 |
| 9 | Simon Yates | 0 | 58 | 0 |
| 10 | Richard Carapaz | 2 | 52 | 0 |
| 11 | Matthew Riccitello | 3 | 48 | 0 |
| 12 | Ben O'Connor | 4 | 44 | 0 |
| 13 | Martin López | 0 | 40 | 0 |
| 14 | Junior Lecerf | 0 | 36 | 0 |
| 15 | Pedro Lopez Juan | 0 | 32 | 0 |
| 16 | Giulio Pellizzari | 0 | 30 | 0 |
| 17 | Manuel Diaz Jose | 0 | 28 | 0 |
| 18 | Wout Poels | 0 | 26 | 0 |
| 19 | Nairo Quintana | 0 | 24 | 0 |
| 20 | Lorenzo Fortunato | 2 | 22 | 0 |
| 21 | Wilco Kelderman | 1 | 20 | 20 |
| 22 | Emanuel Buchmann | 0 | 18 | 0 |
| 23 | Sepp Kuss | 1 | 16 | 16 |
| 24 | Cristian Rodriguez | 2 | 14 | 0 |
| 25 | George Bennett | 0 | 12 | 0 |
| 26 | Marc Soler | 2 | 10 | 0 |
| 27 | Carlos Garcia | 0 | 8 | 0 |
| 28 | Pablo Torres | 0 | 6 | 0 |
| 29 | Mario Aparicio | 0 | 4 | 0 |
| 30 | Esteban Chaves | 0 | 2 | 0 |
A total of 54 players entered:
| User | Pick | Base | Bonus | Score |
|---|---|---|---|---|
| marleycats | Kaden Groves | 158 | 104 | 262 |
| BWallis17 | Magnus Cort | 140 | 100 | 240 |
| MrR2D | Olav Kooij | 112 | 92 | 204 |
| beaker15 | Biniam Girmay | 62 | 62 | 124 |
| iamczecksy | Mathieu van der Poel | 116.7 | 0 | 116.7 |
| JDdieSonne | Mathieu van der Poel | 116.7 | 0 | 116.7 |
| Kryziven | Mathieu van der Poel | 116.7 | 0 | 116.7 |
| MaxAeroMustache | Filippo Ganna | 93.3 | 0 | 93.3 |
| sudomakemetacos | Filippo Ganna | 93.3 | 0 | 93.3 |
| Verlichtingszucht | Filippo Ganna | 93.3 | 0 | 93.3 |
| nahgoe16 | Edoardo Zambanini | 45 | 45 | 90 |
| fewfiet | Tadej Pogacar | 70 | 0 | 70 |
| isaiahHat | Tadej Pogacar | 70 | 0 | 70 |
| Nussig | Tadej Pogacar | 70 | 0 | 70 |
| Norskov | Jasper Stuyven | 28 | 28 | 56 |
| CadenceChallenged | Mads Pedersen | 42 | 0 | 42 |
| djordastic | Mads Pedersen | 42 | 0 | 42 |
| yellow52 | Mads Pedersen | 42 | 0 | 42 |
| Big_Mike_S | Michael Matthews | 35 | 0 | 35 |
| burden321 | Michael Matthews | 35 | 0 | 35 |
| GregLeBlonde | Michael Matthews | 35 | 0 | 35 |
| Ok_Chipmunk_3854 | Michael Matthews | 35 | 0 | 35 |
| Zeckesan | Michael Matthews | 35 | 0 | 35 |
| Judas_Bishop | Vincenzo Albanese | 14 | 14 | 28 |
| RaylanGivens8 | Ben Tulett | 26 | 0 | 26 |
| SparkleCrotchLover | Ben Tulett | 26 | 0 | 26 |
| CudoLanda | Maxim Van Gils | 21 | 0 | 21 |
| derwipok | Maxim Van Gils | 21 | 0 | 21 |
| Avila99 | Roger Adrià | 6.3 | 0 | 6.3 |
| AwakenTheBacon_ | Roger Adrià | 6.3 | 0 | 6.3 |
| DerpTrain | Roger Adrià | 6.3 | 0 | 6.3 |
| LurkasM1 | Roger Adrià | 6.3 | 0 | 6.3 |
| wonderbeann | Jasper Philipsen | 0 | 0 | 0 |
| ser-seaworth | Jenno Berckmoes | 0 | 0 | 0 |
| Divergee5 | Jonathan Milan | 0 | 0 | 0 |
| listenyall | Jonathan Milan | 0 | 0 | 0 |
| ssfoxx27 | Jonathan Milan | 0 | 0 | 0 |
| LynniePinnie67 | Julian Alaphilippe | 0 | 0 | 0 |
| paulindy2000 | Julian Alaphilippe | 0 | 0 | 0 |
| vbarrielle | Julian Alaphilippe | 0 | 0 | 0 |
| BSantos57 | Laurence Pithie | 0 | 0 | 0 |
| Mattxps | Laurence Pithie | 0 | 0 | 0 |
| ZBGT | Martin Marcellusi | 0 | 0 | 0 |
| andytheciderman | Matej Mohoric | 0 | 0 | 0 |
| LJSchoppert | Matej Mohoric | 0 | 0 | 0 |
| WiscMIIe | Matej Mohoric | 0 | 0 | 0 |
| fetamorphasis | Neilson Powless | 0 | 0 | 0 |
| Redskin44 | Neilson Powless | 0 | 0 | 0 |
| Xcpa9 | Neilson Powless | 0 | 0 | 0 |
| Team_Telekom | Rick Pluimers | 0 | 0 | 0 |
| Eyeconoclastic | Sam Bennett | 0 | 0 | 0 |
| alpal2214 | Tom Pidcock | 0 | 0 | 0 |
| edlll91 | Tom Pidcock | 0 | 0 | 0 |
| sharkbait_hahaha | Victor Campenaerts | 0 | 0 | 0 |
The Top 30 finishers were:
| Rank | Rider | Picks | Base | Bonus |
|---|---|---|---|---|
| 1 | Mathieu van der Poel | 3 | 350 | 0 |
| 2 | Filippo Ganna | 3 | 280 | 0 |
| 3 | Tadej Pogacar | 3 | 210 | 0 |
| 4 | Michael Matthews | 5 | 175 | 0 |
| 5 | Kaden Groves | 1 | 158 | 104 |
| 6 | Magnus Cort | 1 | 140 | 100 |
| 7 | Mads Pedersen | 3 | 126 | 0 |
| 8 | Olav Kooij | 1 | 112 | 92 |
| 9 | Matteo Trentin | 0 | 101 | 0 |
| 10 | Fred Wright | 0 | 91 | 0 |
| 11 | Mike Teunissen | 0 | 84 | 0 |
| 12 | Corbin Strong | 0 | 78 | 0 |
| 13 | Isaac del Toro | 0 | 70 | 0 |
| 14 | Biniam Girmay | 1 | 62 | 62 |
| 15 | Alex Aranburu | 0 | 56 | 0 |
| 16 | Ben Tulett | 2 | 52 | 0 |
| 17 | Mikkel Honore | 0 | 48 | 0 |
| 18 | Edoardo Zambanini | 1 | 45 | 45 |
| 19 | Maxim Van Gils | 2 | 42 | 0 |
| 20 | Jon Barrenetxea | 0 | 39 | 0 |
| 21 | Iván García Cortina | 0 | 35 | 0 |
| 22 | Simone Velasco | 0 | 32 | 0 |
| 23 | Jasper Stuyven | 1 | 28 | 28 |
| 24 | Roger Adrià | 4 | 25 | 0 |
| 25 | Arjen Livyns | 0 | 21 | 0 |
| 26 | Casper Pedersen | 0 | 18 | 0 |
| 27 | Vincenzo Albanese | 1 | 14 | 14 |
| 28 | Orluis Aular | 0 | 10 | 0 |
| 29 | Quentin Pacher | 0 | 8 | 0 |
| 30 | Romain Grégoire | 0 | 4 | 0 |
A total of 54 players entered:
| User | Pick | Base | Bonus | Score |
|---|---|---|---|---|
| LurkasM1 | Jai Hindley | 126 | 78 | 204 |
| fewfiet | Juan Ayuso | 140 | 0 | 140 |
| Kryziven | Juan Ayuso | 140 | 0 | 140 |
| edlll91 | Romain Grégoire | 45 | 45 | 90 |
| burden321 | Antonio Tiberi | 56 | 0 | 56 |
| Verlichtingszucht | Antonio Tiberi | 56 | 0 | 56 |
| Zeckesan | Antonio Tiberi | 56 | 0 | 56 |
| AwakenTheBacon_ | Lorenzo Fortunato | 28 | 28 | 56 |
| andytheciderman | Tom Pidcock | 56 | 0 | 56 |
| CadenceChallenged | Tom Pidcock | 56 | 0 | 56 |
| BSantos57 | Pello Bilbao | 40.5 | 0 | 40.5 |
| fetamorphasis | Pello Bilbao | 40.5 | 0 | 40.5 |
| iamczecksy | Filippo Zana | 17 | 17 | 34 |
| MrR2D | Mikel Landa | 33.7 | 0 | 33.7 |
| sudomakemetacos | Mikel Landa | 33.7 | 0 | 33.7 |
| wonderbeann | Mikel Landa | 33.7 | 0 | 33.7 |
| paulindy2000 | Kévin Vauquelin | 31 | 0 | 31 |
| SparkleCrotchLover | Kévin Vauquelin | 31 | 0 | 31 |
| CudoLanda | Derek Gee | 23.3 | 0 | 23.3 |
| LynniePinnie67 | Derek Gee | 23.3 | 0 | 23.3 |
| Norskov | Derek Gee | 23.3 | 0 | 23.3 |
| RaylanGivens8 | Derek Gee | 23.3 | 0 | 23.3 |
| Redskin44 | Derek Gee | 23.3 | 0 | 23.3 |
| WiscMIIe | Derek Gee | 23.3 | 0 | 23.3 |
| DerpTrain | Adam Yates | 21 | 0 | 21 |
| Nussig | Adam Yates | 21 | 0 | 21 |
| ssfoxx27 | Davide Piganzoli | 19.5 | 0 | 19.5 |
| ZBGT | Davide Piganzoli | 19.5 | 0 | 19.5 |
| beaker15 | Richard Carapaz | 18 | 0 | 18 |
| djordastic | Richard Carapaz | 18 | 0 | 18 |
| LJSchoppert | Isaac del Toro | 17 | 0 | 17 |
| ser-seaworth | Isaac del Toro | 17 | 0 | 17 |
| alpal2214 | Simon Yates | 16.7 | 0 | 16.7 |
| Divergee5 | Simon Yates | 16.7 | 0 | 16.7 |
| JDdieSonne | Simon Yates | 16.7 | 0 | 16.7 |
| Big_Mike_S | Giulio Ciccone | 9.3 | 0 | 9.3 |
| BWallis17 | Giulio Ciccone | 9.3 | 0 | 9.3 |
| detestrian | Giulio Ciccone | 9.3 | 0 | 9.3 |
| isaiahHat | Giulio Ciccone | 9.3 | 0 | 9.3 |
| tiwnuja | Giulio Ciccone | 9.3 | 0 | 9.3 |
| Xcpa9 | Giulio Ciccone | 9.3 | 0 | 9.3 |
| GregLeBlonde | Cian Uijtdebroeks | 0 | 0 | 0 |
| Eyeconoclastic | David Gaudu | 0 | 0 | 0 |
| sunnyB8 | David Gaudu | 0 | 0 | 0 |
| nahgoe16 | Edward Dunbar | 0 | 0 | 0 |
| Avila99 | Florian Lipowitz | 0 | 0 | 0 |
| Ok_Chipmunk_3854 | Johannes Staune-Mittet | 0 | 0 | 0 |
| Mattxps | Laurens De Plus | 0 | 0 | 0 |
| Team_Telekom | Laurens De Plus | 0 | 0 | 0 |
| yellow52 | Laurens De Plus | 0 | 0 | 0 |
| Lyx97 | Mathieu van der Poel | 0 | 0 | 0 |
| listenyall | Toms Skujins | 0 | 0 | 0 |
| sharkbait_hahaha | Valentin Paret-Peintre | 0 | 0 | 0 |
| Judas_Bishop | Wout Poels | 0 | 0 | 0 |
The Top 30 finishers were:
| Rank | Rider | Picks | Base | Bonus |
|---|---|---|---|---|
| 1 | Juan Ayuso | 2 | 280 | 0 |
| 2 | Filippo Ganna | 0 | 224 | 0 |
| 3 | Antonio Tiberi | 3 | 168 | 0 |
| 4 | Derek Gee | 6 | 140 | 0 |
| 5 | Jai Hindley | 1 | 126 | 78 |
| 6 | Tom Pidcock | 2 | 112 | 0 |
| 7 | Mikel Landa | 3 | 101 | 0 |
| 8 | David de la Cruz | 0 | 90 | 0 |
| 9 | Pello Bilbao | 2 | 81 | 0 |
| 10 | Mattia Cattaneo | 0 | 73 | 0 |
| 11 | Halland Johannessen Tobias | 0 | 67 | 0 |
| 12 | Kévin Vauquelin | 2 | 62 | 0 |
| 13 | Giulio Ciccone | 6 | 56 | 0 |
| 14 | Simon Yates | 3 | 50 | 0 |
| 15 | Romain Grégoire | 1 | 45 | 45 |
| 16 | Adam Yates | 2 | 42 | 0 |
| 17 | Davide Piganzoli | 2 | 39 | 0 |
| 18 | Richard Carapaz | 2 | 36 | 0 |
| 19 | Isaac del Toro | 2 | 34 | 0 |
| 20 | Einer Rubio | 0 | 31 | 0 |
| 21 | Lorenzo Fortunato | 1 | 28 | 28 |
| 22 | Alessandro Pinarello | 0 | 25 | 0 |
| 23 | Marc Hirschi | 0 | 22 | 0 |
| 24 | Ben Healy | 0 | 20 | 0 |
| 25 | Filippo Zana | 1 | 17 | 17 |
| 26 | Simone Velasco | 0 | 14 | 0 |
| 27 | Florian Kajamini | 0 | 11 | 0 |
| 28 | Ion Izagirre | 0 | 8 | 0 |
| 29 | Alex Aranburu | 0 | 6 | 0 |
| 30 | Filippo Fiorelli | 0 | 3 | 0 |
A total of 54 players entered:
| User | Pick | Base | Bonus | Score |
|---|---|---|---|---|
| CudoLanda | Thymen Arensman | 168 | 84 | 252 |
| Judas_Bishop | Magnus Sheffield | 140 | 81 | 221 |
| Verlichtingszucht | Michael Storer | 126 | 78 | 204 |
| detestrian | Matteo Jorgenson | 140 | 0 | 140 |
| iamczecksy | Matteo Jorgenson | 140 | 0 | 140 |
| GregLeBlonde | Pablo Castrillo | 67 | 60 | 127 |
| derwipok | Joao Almeida | 37.3 | 0 | 37.3 |
| edlll91 | Joao Almeida | 37.3 | 0 | 37.3 |
| WiscMIIe | Joao Almeida | 37.3 | 0 | 37.3 |
| Avila99 | Florian Lipowitz | 32 | 0 | 32 |
| AwakenTheBacon_ | Florian Lipowitz | 32 | 0 | 32 |
| BWallis17 | Florian Lipowitz | 32 | 0 | 32 |
| JDdieSonne | Florian Lipowitz | 32 | 0 | 32 |
| Kryziven | Florian Lipowitz | 32 | 0 | 32 |
| LurkasM1 | Florian Lipowitz | 32 | 0 | 32 |
| Xcpa9 | Florian Lipowitz | 32 | 0 | 32 |
| Mattxps | Guillaume Martin-Guyonnet | 28 | 0 | 28 |
| vbarrielle | Guillaume Martin-Guyonnet | 28 | 0 | 28 |
| andytheciderman | Max Schachmann | 19.5 | 0 | 19.5 |
| Team_Telekom | Max Schachmann | 19.5 | 0 | 19.5 |
| alpal2214 | Ben O'Connor | 16.7 | 0 | 16.7 |
| Big_Mike_S | Ben O'Connor | 16.7 | 0 | 16.7 |
| BSantos57 | Ben O'Connor | 16.7 | 0 | 16.7 |
| ssfoxx27 | Iván Romeo | 9.3 | 0 | 9.3 |
| wonderbeann | Iván Romeo | 9.3 | 0 | 9.3 |
| Zeckesan | Iván Romeo | 9.3 | 0 | 9.3 |
| Divergee5 | Felix Gall | 9 | 0 | 9 |
| isaiahHat | Felix Gall | 9 | 0 | 9 |
| LJSchoppert | Felix Gall | 9 | 0 | 9 |
| MrR2D | Felix Gall | 9 | 0 | 9 |
| burden321 | Aleksandr Vlasov | 0 | 0 | 0 |
| DerpTrain | Aleksandr Vlasov | 0 | 0 | 0 |
| Eyeconoclastic | Aleksandr Vlasov | 0 | 0 | 0 |
| LynniePinnie67 | Aleksandr Vlasov | 0 | 0 | 0 |
| sharkbait_hahaha | Aleksandr Vlasov | 0 | 0 | 0 |
| nahgoe16 | Georg Steinhauser | 0 | 0 | 0 |
| sudomakemetacos | Jhonatan Narvaez | 0 | 0 | 0 |
| fewfiet | Jonas Vingegaard | 0 | 0 | 0 |
| Norskov | Jonas Vingegaard | 0 | 0 | 0 |
| Nussig | Jonas Vingegaard | 0 | 0 | 0 |
| sunnyB8 | Jonas Vingegaard | 0 | 0 | 0 |
| beaker15 | Mattias Skjelmose | 0 | 0 | 0 |
| CadenceChallenged | Mattias Skjelmose | 0 | 0 | 0 |
| fetamorphasis | Mattias Skjelmose | 0 | 0 | 0 |
| Ok_Chipmunk_3854 | Mattias Skjelmose | 0 | 0 | 0 |
| Redskin44 | Mattias Skjelmose | 0 | 0 | 0 |
| SparkleCrotchLover | Mattias Skjelmose | 0 | 0 | 0 |
| listenyall | Neilson Powless | 0 | 0 | 0 |
| marleycats | Pavel Sivakov | 0 | 0 | 0 |
| paulindy2000 | Pavel Sivakov | 0 | 0 | 0 |
| Sappert | Pavel Sivakov | 0 | 0 | 0 |
| yellow52 | Romain Bardet | 0 | 0 | 0 |
| tiwnuja | Santiago Buitrago | 0 | 0 | 0 |
| ser-seaworth | Steff Cras | 0 | 0 | 0 |
The Top 30 finishers were:
| Rank | Rider | Picks | Base | Bonus |
|---|---|---|---|---|
| 1 | Matteo Jorgenson | 2 | 280 | 0 |
| 2 | Florian Lipowitz | 7 | 224 | 0 |
| 3 | Thymen Arensman | 1 | 168 | 84 |
| 4 | Magnus Sheffield | 1 | 140 | 81 |
| 5 | Michael Storer | 1 | 126 | 78 |
| 6 | Joao Almeida | 3 | 112 | 0 |
| 7 | Clément Champoussin | 0 | 101 | 0 |
| 8 | Harold Tejada | 0 | 90 | 0 |
| 9 | Tobias Foss | 0 | 81 | 0 |
| 10 | Ilan Van Wilder | 0 | 73 | 0 |
| 11 | Pablo Castrillo | 1 | 67 | 60 |
| 12 | Aurélien Paret-Peintre | 0 | 62 | 0 |
| 13 | Guillaume Martin-Guyonnet | 2 | 56 | 0 |
| 14 | Ben O'Connor | 3 | 50 | 0 |
| 15 | William Barta | 0 | 45 | 0 |
| 16 | Raúl García | 0 | 42 | 0 |
| 17 | Max Schachmann | 2 | 39 | 0 |
| 18 | Felix Gall | 4 | 36 | 0 |
| 19 | Kobe Goossens | 0 | 34 | 0 |
| 20 | Georg Zimmermann | 0 | 31 | 0 |
| 21 | Iván Romeo | 3 | 28 | 0 |
| 22 | Luca Vergallito | 0 | 25 | 0 |
| 23 | Jordan Jegat | 0 | 22 | 0 |
| 24 | Lenny Martinez | 0 | 20 | 0 |
| 25 | Kevin Geniets | 0 | 17 | 0 |
| 26 | Mads Pedersen | 0 | 14 | 0 |
| 27 | Joshua Tarling | 0 | 11 | 0 |
| 28 | Matteo Sobrero | 0 | 8 | 0 |
| 29 | Andreas Leknessund | 0 | 6 | 0 |
| 30 | Jack Haig | 0 | 3 | 0 |
A total of 60 players entered:
| User | Pick | Base | Bonus | Score |
|---|---|---|---|---|
| ser-seaworth | Tim Wellens | 108 | 42 | 150 |
| listenyall | Ben Healy | 90 | 41 | 131 |
| Norskov | Magnus Cort | 72 | 38 | 110 |
| andytheciderman | Davide Formolo | 32 | 26 | 58 |
| Funny-Substance5576 | Tom Pidcock | 48 | 0 | 48 |
| sudomakemetacos | Tom Pidcock | 48 | 0 | 48 |
| Zeckesan | Tom Pidcock | 48 | 0 | 48 |
| fewfiet | Tadej Pogacar | 30 | 0 | 30 |
| iamczecksy | Tadej Pogacar | 30 | 0 | 30 |
| MaxAeroMustache | Tadej Pogacar | 30 | 0 | 30 |
| Sappert | Tadej Pogacar | 30 | 0 | 30 |
| sunnyB8 | Tadej Pogacar | 30 | 0 | 30 |
| Xcpa9 | Tadej Pogacar | 30 | 0 | 30 |
| LurkasM1 | Roger Adrià | 23.5 | 0 | 23.5 |
| runhaags1 | Roger Adrià | 23.5 | 0 | 23.5 |
| alpal2214 | Gianni Vermeersch | 21.7 | 0 | 21.7 |
| Lyx97 | Gianni Vermeersch | 21.7 | 0 | 21.7 |
| Mattxps | Gianni Vermeersch | 21.7 | 0 | 21.7 |
| CadenceChallenged | Pello Bilbao | 20.3 | 0 | 20.3 |
| CudoLanda | Pello Bilbao | 20.3 | 0 | 20.3 |
| derwipok | Pello Bilbao | 20.3 | 0 | 20.3 |
| fetamorphasis | Pello Bilbao | 20.3 | 0 | 20.3 |
| LJSchoppert | Toms Skujins | 20 | 0 | 20 |
| Verlichtingszucht | Toms Skujins | 20 | 0 | 20 |
| MrR2D | Bastien Tronchon | 9 | 8 | 17 |
| AwakenTheBacon_ | Attila Valter | 5.3 | 0 | 5.3 |
| JDdieSonne | Attila Valter | 5.3 | 0 | 5.3 |
| Redskin44 | Attila Valter | 5.3 | 0 | 5.3 |
| BSantos57 | Marc Hirschi | 2.6 | 0 | 2.6 |
| DerpTrain | Marc Hirschi | 2.6 | 0 | 2.6 |
| GregLeBlonde | Marc Hirschi | 2.6 | 0 | 2.6 |
| LynniePinnie67 | Marc Hirschi | 2.6 | 0 | 2.6 |
| Nussig | Marc Hirschi | 2.6 | 0 | 2.6 |
| ssfoxx27 | Alan Hatherly | 0 | 0 | 0 |
| Big_Mike_S | Alberto Bettiol | 0 | 0 | 0 |
| Ok_Chipmunk_3854 | Andrea Bagioli | 0 | 0 | 0 |
| burden321 | Ben Tulett | 0 | 0 | 0 |
| RaylanGivens8 | Ben Tulett | 0 | 0 | 0 |
| Judas_Bishop | Carlos Canal | 0 | 0 | 0 |
| edlll91 | Diego Ulissi | 0 | 0 | 0 |
| nahgoe16 | Dylan Teuns | 0 | 0 | 0 |
| isaiahHat | Filippo Zana | 0 | 0 | 0 |
| wonderbeann | Filippo Zana | 0 | 0 | 0 |
| paaulo | Isaac del Toro | 0 | 0 | 0 |
| detestrian | Jakob Fuglsang | 0 | 0 | 0 |
| sharkbait_hahaha | Mathias Vacek | 0 | 0 | 0 |
| tiwnuja | Mathias Vacek | 0 | 0 | 0 |
| yellow52 | Mathias Vacek | 0 | 0 | 0 |
| Divergee5 | Maxim Van Gils | 0 | 0 | 0 |
| WiscMIIe | Michal Kwiatkowski | 0 | 0 | 0 |
| ZBGT | Quinn Simmons | 0 | 0 | 0 |
| Avila99 | Romain Grégoire | 0 | 0 | 0 |
| Kryziven | Romain Grégoire | 0 | 0 | 0 |
| paulindy2000 | Romain Grégoire | 0 | 0 | 0 |
| beaker15 | Valentin Madouas | 0 | 0 | 0 |
| BWallis17 | Valentin Madouas | 0 | 0 | 0 |
| marleycats | Valentin Madouas | 0 | 0 | 0 |
| SparkleCrotchLover | Valentin Madouas | 0 | 0 | 0 |
| Team_Telekom | Valentin Madouas | 0 | 0 | 0 |
| vbarrielle | Valentin Madouas | 0 | 0 | 0 |
The Top 30 finishers were:
| Rank | Rider | Picks | Base | Bonus |
|---|---|---|---|---|
| 1 | Tadej Pogacar | 6 | 180 | 0 |
| 2 | Tom Pidcock | 3 | 144 | 0 |
| 3 | Tim Wellens | 1 | 108 | 42 |
| 4 | Ben Healy | 1 | 90 | 41 |
| 5 | Pello Bilbao | 4 | 81 | 0 |
| 6 | Magnus Cort | 1 | 72 | 38 |
| 7 | Gianni Vermeersch | 3 | 65 | 0 |
| 8 | Michael Valgren | 0 | 58 | 0 |
| 9 | Lennert Van Eetvelt | 0 | 52 | 0 |
| 10 | Roger Adrià | 2 | 47 | 0 |
| 11 | Mikel Landa | 0 | 43 | 0 |
| 12 | Toms Skujins | 2 | 40 | 0 |
| 13 | Connor Swift | 0 | 36 | 0 |
| 14 | Davide Formolo | 1 | 32 | 26 |
| 15 | Quinten Hermans | 0 | 29 | 0 |
| 16 | Andrea Vendrame | 0 | 27 | 0 |
| 17 | Jordan Labrosse | 0 | 25 | 0 |
| 18 | Florian Vermeersch | 0 | 23 | 0 |
| 19 | Lewis Askey | 0 | 22 | 0 |
| 20 | Kévin Vauquelin | 0 | 20 | 0 |
| 21 | Fredrik Dversnes | 0 | 18 | 0 |
| 22 | Attila Valter | 3 | 16 | 0 |
| 23 | Halland Johannessen Tobias | 0 | 14 | 0 |
| 24 | Marc Hirschi | 5 | 13 | 0 |
| 25 | Albert Withen Philipsen | 0 | 11 | 0 |
| 26 | Bastien Tronchon | 1 | 9 | 8 |
| 27 | Mark Donovan | 0 | 7 | 0 |
| 28 | Halland Johannessen Anders | 0 | 5 | 0 |
| 29 | Mattia Cattaneo | 0 | 3 | 0 |
| 30 | Joe Blackmore | 0 | 2 | 0 |
A total of 58 players entered:
| User | Pick | Base | Bonus | Score |
|---|---|---|---|---|
| LynniePinnie67 | Paul Magnier | 72 | 0 | 72 |
| paulindy2000 | Paul Magnier | 72 | 0 | 72 |
| ser-seaworth | Tim van Dijke | 29 | 24 | 53 |
| RaylanGivens8 | Mike Teunissen | 22 | 18 | 40 |
| wonderbeann | Oliver Naesen | 16 | 14 | 30 |
| fewfiet | Wout van Aert | 14.3 | 0 | 14.3 |
| Lyx97 | Wout van Aert | 14.3 | 0 | 14.3 |
| Nussig | Wout van Aert | 14.3 | 0 | 14.3 |
| DerpTrain | Mathias Vacek | 6.8 | 0 | 6.8 |
| Divergee5 | Mathias Vacek | 6.8 | 0 | 6.8 |
| Norskov | Mathias Vacek | 6.8 | 0 | 6.8 |
| sharkbait_hahaha | Mathias Vacek | 6.8 | 0 | 6.8 |
| Judas_Bishop | Rick Pluimers | 6.5 | 0 | 6.5 |
| Redskin44 | Rick Pluimers | 6.5 | 0 | 6.5 |
| andytheciderman | Jenthe Biermans | 3 | 3 | 6 |
| BSantos57 | António Morgado | 0 | 0 | 0 |
| LJSchoppert | António Morgado | 0 | 0 | 0 |
| paaulo | António Morgado | 0 | 0 | 0 |
| derwipok | Arnaud De Lie | 0 | 0 | 0 |
| detestrian | Arnaud De Lie | 0 | 0 | 0 |
| burden321 | Ben Turner | 0 | 0 | 0 |
| BWallis17 | Ben Turner | 0 | 0 | 0 |
| ZBGT | Dylan Teuns | 0 | 0 | 0 |
| alpal2214 | Jasper Stuyven | 0 | 0 | 0 |
| isaiahHat | Jasper Stuyven | 0 | 0 | 0 |
| Zeckesan | Jasper Stuyven | 0 | 0 | 0 |
| CudoLanda | Jhonatan Narvaez | 0 | 0 | 0 |
| deepfunkisexihouse | Jhonatan Narvaez | 0 | 0 | 0 |
| Kryziven | Jhonatan Narvaez | 0 | 0 | 0 |
| marleycats | Jhonatan Narvaez | 0 | 0 | 0 |
| sudomakemetacos | Jhonatan Narvaez | 0 | 0 | 0 |
| MaxAeroMustache | Jonas Abrahamsen | 0 | 0 | 0 |
| LurkasM1 | Jordi Meeus | 0 | 0 | 0 |
| beaker15 | Joshua Tarling | 0 | 0 | 0 |
| Eyeconoclastic | Joshua Tarling | 0 | 0 | 0 |
| mcbirk | Kaden Groves | 0 | 0 | 0 |
| djordastic | Kasper Asgreen | 0 | 0 | 0 |
| GregLeBlonde | Kasper Asgreen | 0 | 0 | 0 |
| AwakenTheBacon_ | Madis Mihkels | 0 | 0 | 0 |
| edlll91 | Matej Mohoric | 0 | 0 | 0 |
| Ok_Chipmunk_3854 | Matej Mohoric | 0 | 0 | 0 |
| CadenceChallenged | Matteo Jorgenson | 0 | 0 | 0 |
| fetamorphasis | Matteo Jorgenson | 0 | 0 | 0 |
| JDdieSonne | Matteo Jorgenson | 0 | 0 | 0 |
| Salty-Level | Nils Politt | 0 | 0 | 0 |
| Team_Telekom | Nils Politt | 0 | 0 | 0 |
| Verlichtingszucht | Nils Politt | 0 | 0 | 0 |
| narlano | Oier Lazkano | 0 | 0 | 0 |
| nahgoe16 | Stan Dewulf | 0 | 0 | 0 |
| ssfoxx27 | Stefan Küng | 0 | 0 | 0 |
| vbarrielle | Stefan Küng | 0 | 0 | 0 |
| Avila99 | Tiesj Benoot | 0 | 0 | 0 |
| listenyall | Tim Declercq | 0 | 0 | 0 |
| MrR2D | Tim Wellens | 0 | 0 | 0 |
| yellow52 | Tim Wellens | 0 | 0 | 0 |
| Xcpa9 | Tom Pidcock | 0 | 0 | 0 |
| Big_Mike_S | Toms Skujins | 0 | 0 | 0 |
| Mattxps | Toms Skujins | 0 | 0 | 0 |
The Top 30 finishers were:
| Rank | Rider | Picks | Base | Bonus |
|---|---|---|---|---|
| 1 | Søren Wærenskjold | 0 | 180 | 0 |
| 2 | Paul Magnier | 2 | 144 | 0 |
| 3 | Jasper Philipsen | 0 | 108 | 0 |
| 4 | Brent Van Moer | 0 | 90 | 0 |
| 5 | Sam Watson | 0 | 81 | 0 |
| 6 | Lukas Kubis | 0 | 72 | 0 |
| 7 | Piet Allegaert | 0 | 65 | 0 |
| 8 | Vincenzo Albanese | 0 | 58 | 0 |
| 9 | Marijn van den Berg | 0 | 52 | 0 |
| 10 | Lewis Askey | 0 | 47 | 0 |
| 11 | Wout van Aert | 3 | 43 | 0 |
| 12 | Matteo Trentin | 0 | 40 | 0 |
| 13 | Søjberg Pedersen Rasmus | 0 | 36 | 0 |
| 14 | Alexis Renard | 0 | 32 | 0 |
| 15 | Tim van Dijke | 1 | 29 | 24 |
| 16 | Mathias Vacek | 4 | 27 | 0 |
| 17 | Arjen Livyns | 0 | 25 | 0 |
| 18 | Cees Bol | 0 | 23 | 0 |
| 19 | Mike Teunissen | 1 | 22 | 18 |
| 20 | Jake Stewart | 0 | 20 | 0 |
| 21 | Amaury Capiot | 0 | 18 | 0 |
| 22 | Oliver Naesen | 1 | 16 | 14 |
| 23 | Roger Adrià | 0 | 14 | 0 |
| 24 | Rick Pluimers | 2 | 13 | 0 |
| 25 | Stefan Bissegger | 0 | 11 | 0 |
| 26 | Mick van Dijke | 0 | 9 | 0 |
| 27 | Elmar Reinders | 0 | 7 | 0 |
| 28 | Matis Louvel | 0 | 5 | 0 |
| 29 | Jenthe Biermans | 1 | 3 | 3 |
| 30 | Laurenz Rex | 0 | 2 | 0 |
A total of 51 players entered:
| User | Pick | Base | Bonus | Score |
|---|---|---|---|---|
| RaylanGivens8 | Pello Bilbao | 120 | 56 | 176 |
| GregLeBlonde | Giulio Ciccone | 53.3 | 0 | 53.3 |
| nahgoe16 | Giulio Ciccone | 53.3 | 0 | 53.3 |
| Ok_Chipmunk_3854 | Giulio Ciccone | 53.3 | 0 | 53.3 |
| Divergee5 | Felix Gall | 26 | 26 | 52 |
| alpal2214 | Oscar Onley | 45 | 0 | 45 |
| CudoLanda | Oscar Onley | 45 | 0 | 45 |
| Lyx97 | Bruno Armirail | 22 | 22 | 44 |
| BWallis17 | Finn Fisher-Black | 40 | 0 | 40 |
| isaiahHat | Finn Fisher-Black | 40 | 0 | 40 |
| cyclotech | Esteban Chaves | 12 | 12 | 24 |
| andytheciderman | Tadej Pogacar | 22.2 | 0 | 22.2 |
| derwipok | Tadej Pogacar | 22.2 | 0 | 22.2 |
| fewfiet | Tadej Pogacar | 22.2 | 0 | 22.2 |
| JDdieSonne | Tadej Pogacar | 22.2 | 0 | 22.2 |
| LJSchoppert | Tadej Pogacar | 22.2 | 0 | 22.2 |
| narlano | Tadej Pogacar | 22.2 | 0 | 22.2 |
| Thomas1VL | Tadej Pogacar | 22.2 | 0 | 22.2 |
| Xcpa9 | Tadej Pogacar | 22.2 | 0 | 22.2 |
| yellow52 | Tadej Pogacar | 22.2 | 0 | 22.2 |
| Salty-Level | Lennert Van Eetvelt | 16 | 0 | 16 |
| YourBeneluxOverlords | Lennert Van Eetvelt | 16 | 0 | 16 |
| Zeckesan | Lennert Van Eetvelt | 16 | 0 | 16 |
| burden321 | Michael Storer | 16 | 0 | 16 |
| ssfoxx27 | Michael Storer | 16 | 0 | 16 |
| beaker15 | Jay Vine | 12 | 0 | 12 |
| listenyall | Jay Vine | 12 | 0 | 12 |
| sudomakemetacos | Jay Vine | 12 | 0 | 12 |
| AwakenTheBacon_ | Einer Rubio | 7.5 | 0 | 7.5 |
| DerpTrain | Einer Rubio | 7.5 | 0 | 7.5 |
| marleycats | Einer Rubio | 7.5 | 0 | 7.5 |
| wonderbeann | Einer Rubio | 7.5 | 0 | 7.5 |
| edlll91 | Matthew Riccitello | 5.6 | 0 | 5.6 |
| Eyeconoclastic | Matthew Riccitello | 5.6 | 0 | 5.6 |
| Judas_Bishop | Matthew Riccitello | 5.6 | 0 | 5.6 |
| Lxnnox | Matthew Riccitello | 5.6 | 0 | 5.6 |
| ZBGT | Matthew Riccitello | 5.6 | 0 | 5.6 |
| Redskin44 | Bart Lemmen | 5.3 | 0 | 5.3 |
| sharkbait_hahaha | Bart Lemmen | 5.3 | 0 | 5.3 |
| SparkleCrotchLover | Bart Lemmen | 5.3 | 0 | 5.3 |
| Avila99 | Carlos Rodriguez | 0 | 0 | 0 |
| BSantos57 | Carlos Rodriguez | 0 | 0 | 0 |
| fetamorphasis | Carlos Rodriguez | 0 | 0 | 0 |
| Kryziven | Carlos Rodriguez | 0 | 0 | 0 |
| ser-seaworth | Carlos Rodriguez | 0 | 0 | 0 |
| Team_Telekom | Carlos Rodriguez | 0 | 0 | 0 |
| CadenceChallenged | Chris Harper | 0 | 0 | 0 |
| paulindy2000 | Geoffrey Bouchard | 0 | 0 | 0 |
| LurkasM1 | Giulio Pellizzari | 0 | 0 | 0 |
| LynniePinnie67 | Giulio Pellizzari | 0 | 0 | 0 |
| vbarrielle | Paul Seixas | 0 | 0 | 0 |
The Top 30 finishers were:
| Rank | Rider | Picks | Base | Bonus |
|---|---|---|---|---|
| 1 | Tadej Pogacar | 9 | 200 | 0 |
| 2 | Giulio Ciccone | 3 | 160 | 0 |
| 3 | Pello Bilbao | 1 | 120 | 56 |
| 4 | Iván Romeo | 0 | 100 | 0 |
| 5 | Oscar Onley | 2 | 90 | 0 |
| 6 | Finn Fisher-Black | 2 | 80 | 0 |
| 7 | Pablo Castrillo | 0 | 72 | 0 |
| 8 | Junior Lecerf | 0 | 64 | 0 |
| 9 | Harold Tejada | 0 | 58 | 0 |
| 10 | Patrick Konrad | 0 | 52 | 0 |
| 11 | Lennert Van Eetvelt | 3 | 48 | 0 |
| 12 | Georg Steinhauser | 0 | 44 | 0 |
| 13 | Rainer Kepplinger | 0 | 40 | 0 |
| 14 | Jay Vine | 3 | 36 | 0 |
| 15 | Michael Storer | 2 | 32 | 0 |
| 16 | Einer Rubio | 4 | 30 | 0 |
| 17 | Matthew Riccitello | 5 | 28 | 0 |
| 18 | Felix Gall | 1 | 26 | 26 |
| 19 | Alessandro Pinarello | 0 | 24 | 0 |
| 20 | Bruno Armirail | 1 | 22 | 22 |
| 21 | Joshua Tarling | 0 | 20 | 0 |
| 22 | Florian Kajamini | 0 | 18 | 0 |
| 23 | Bart Lemmen | 3 | 16 | 0 |
| 24 | Ben Zwiehoff | 0 | 14 | 0 |
| 25 | Esteban Chaves | 1 | 12 | 12 |
| 26 | Lorenzo Quartucci | 0 | 10 | 0 |
| 27 | Kobe Goossens | 0 | 8 | 0 |
| 28 | Alexey Lutsenko | 0 | 6 | 0 |
| 29 | Roberto Gonzalez | 0 | 4 | 0 |
| 30 | Pascal Eenkhoorn | 0 | 2 | 0 |
A total of 50 players entered:
| User | Pick | Base | Bonus | Score |
|---|---|---|---|---|
| Verlichtingszucht | Aaron Gate | 90 | 29 | 119 |
| Redskin44 | Javier Romo | 68 | 27 | 95 |
| Divergee5 | Mauro Schmid | 60 | 0 | 60 |
| LynniePinnie67 | Mauro Schmid | 60 | 0 | 60 |
| listenyall | Torn Teutenberg Tim | 27 | 18 | 45 |
| CadenceChallenged | Laurence Pithie | 37.5 | 0 | 37.5 |
| isaiahHat | Laurence Pithie | 37.5 | 0 | 37.5 |
| ser-seaworth | Carlos Canal | 11 | 10 | 21 |
| DorHarris | Corbin Strong | 18 | 0 | 18 |
| fewfiet | Corbin Strong | 18 | 0 | 18 |
| Zeckesan | Corbin Strong | 18 | 0 | 18 |
| beaker15 | Magnus Sheffield | 16 | 0 | 16 |
| DerpTrain | Magnus Sheffield | 16 | 0 | 16 |
| fetamorphasis | Magnus Sheffield | 16 | 0 | 16 |
| narlano | Danny van Poppel | 12.5 | 0 | 12.5 |
| wonderbeann | Danny van Poppel | 12.5 | 0 | 12.5 |
| iamczecksy | Finn Fisher-Black | 12 | 0 | 12 |
| LJSchoppert | Finn Fisher-Black | 12 | 0 | 12 |
| MrR2D | Finn Fisher-Black | 12 | 0 | 12 |
| sudomakemetacos | Michal Kwiatkowski | 6 | 6 | 12 |
| Norskov | Tobias Lund Andresen | 11.5 | 0 | 11.5 |
| Salty-Level | Tobias Lund Andresen | 11.5 | 0 | 11.5 |
| sharkbait_hahaha | Chris Harper | 4 | 4 | 8 |
| BWallis17 | Natnael Tesfazion | 7.5 | 0 | 7.5 |
| Judas_Bishop | Natnael Tesfazion | 7.5 | 0 | 7.5 |
| JDdieSonne | Georg Zimmermann | 4.5 | 0 | 4.5 |
| SparkleCrotchLover | Georg Zimmermann | 4.5 | 0 | 4.5 |
| Big_Mike_S | Bryan Coquard | 3.5 | 0 | 3.5 |
| BSantos57 | Bryan Coquard | 3.5 | 0 | 3.5 |
| Kryziven | Bryan Coquard | 3.5 | 0 | 3.5 |
| paulindy2000 | Bryan Coquard | 3.5 | 0 | 3.5 |
| Team_Telekom | Bryan Coquard | 3.5 | 0 | 3.5 |
| vbarrielle | Bryan Coquard | 3.5 | 0 | 3.5 |
| nahgoe16 | Rudy Porter | 2.5 | 0 | 2.5 |
| RaylanGivens8 | Rudy Porter | 2.5 | 0 | 2.5 |
| Avila99 | Albert Withen Philipsen | 0 | 0 | 0 |
| CudoLanda | Albert Withen Philipsen | 0 | 0 | 0 |
| Ok_Chipmunk_3854 | Albert Withen Philipsen | 0 | 0 | 0 |
| djordastic | Alberto Bettiol | 0 | 0 | 0 |
| alpal2214 | Arne Marit | 0 | 0 | 0 |
| andytheciderman | Ben Swift | 0 | 0 | 0 |
| yellow52 | Ben Swift | 0 | 0 | 0 |
| ZBGT | Diego Pescador | 0 | 0 | 0 |
| GregLeBlonde | Kelland O'Brien | 0 | 0 | 0 |
| AwakenTheBacon_ | Lukas Nerurkar | 0 | 0 | 0 |
| ssfoxx27 | Lukas Nerurkar | 0 | 0 | 0 |
| burden321 | Sam Watson | 0 | 0 | 0 |
| derwipok | Sam Watson | 0 | 0 | 0 |
| MadnessBeliever | Sam Watson | 0 | 0 | 0 |
| Nussig | Sam Welsford | 0 | 0 | 0 |
The Top 30 finishers were:
| Rank | Rider | Picks | Base | Bonus |
|---|---|---|---|---|
| 1 | Mauro Schmid | 2 | 120 | 0 |
| 2 | Aaron Gate | 1 | 90 | 29 |
| 3 | Laurence Pithie | 2 | 75 | 0 |
| 4 | Javier Romo | 1 | 68 | 27 |
| 5 | Andrea Bagioli | 0 | 60 | 0 |
| 6 | Corbin Strong | 3 | 54 | 0 |
| 7 | Magnus Sheffield | 3 | 48 | 0 |
| 8 | Rémy Rochas | 0 | 44 | 0 |
| 9 | Oscar Onley | 0 | 39 | 0 |
| 10 | Finn Fisher-Black | 3 | 36 | 0 |
| 11 | Esteban Chaves | 0 | 33 | 0 |
| 12 | Michael Woods | 0 | 30 | 0 |
| 13 | Torn Teutenberg Tim | 1 | 27 | 18 |
| 14 | Danny van Poppel | 2 | 25 | 0 |
| 15 | Tobias Lund Andresen | 2 | 23 | 0 |
| 16 | Bryan Coquard | 6 | 21 | 0 |
| 17 | Francesco Busatto | 0 | 19 | 0 |
| 18 | Patrick Konrad | 0 | 17 | 0 |
| 19 | Natnael Tesfazion | 2 | 15 | 0 |
| 20 | Pascal Eenkhoorn | 0 | 13 | 0 |
| 21 | Carlos Canal | 1 | 11 | 10 |
| 22 | Georg Zimmermann | 2 | 9 | 0 |
| 23 | Henok Mulubrhan | 0 | 8 | 0 |
| 24 | Quentin Pacher | 0 | 7 | 0 |
| 25 | Michal Kwiatkowski | 1 | 6 | 6 |
| 26 | Rudy Porter | 2 | 5 | 0 |
| 27 | Chris Harper | 1 | 4 | 4 |
| 28 | George Bennett | 0 | 3 | 0 |
| 29 | Dries De Pooter | 0 | 2 | 0 |
| 30 | Lewis Askey | 0 | 1 | 0 |
A total of 57 players entered:
| User | Pick | Base | Bonus | Score |
|---|---|---|---|---|
| ser-seaworth | Bastien Tronchon | 90 | 52 | 142 |
| DerpTrain | Thomas Gloag | 64 | 46 | 110 |
| paulindy2000 | Rémy Rochas | 44 | 38 | 82 |
| GmckAgar | Javier Romo | 80 | 0 | 80 |
| Norskov | Javier Romo | 80 | 0 | 80 |
| djordastic | Jhonatan Narvaez | 66.7 | 0 | 66.7 |
| MadnessBeliever | Jhonatan Narvaez | 66.7 | 0 | 66.7 |
| Nussig | Jhonatan Narvaez | 66.7 | 0 | 66.7 |
| JDdieSonne | Corbin Strong | 20 | 20 | 40 |
| beaker15 | Finn Fisher-Black | 40 | 0 | 40 |
| LurkasM1 | Finn Fisher-Black | 40 | 0 | 40 |
| Xcpa9 | Finn Fisher-Black | 40 | 0 | 40 |
| fetamorphasis | Lucas Plapp | 40 | 0 | 40 |
| Thomas1VL | Lucas Plapp | 40 | 0 | 40 |
| Redskin44 | Andrea Bagioli | 14 | 14 | 28 |
| nahgoe16 | Ion Izagirre | 12 | 12 | 24 |
| alpal2214 | Magnus Sheffield | 18 | 0 | 18 |
| bassmanyoowan | Magnus Sheffield | 18 | 0 | 18 |
| Salty-Level | Magnus Sheffield | 18 | 0 | 18 |
| ZBGT | Magnus Sheffield | 18 | 0 | 18 |
| BSantos57 | Oscar Onley | 14.3 | 0 | 14.3 |
| Funny-Substance5576 | Oscar Onley | 14.3 | 0 | 14.3 |
| GregLeBlonde | Oscar Onley | 14.3 | 0 | 14.3 |
| isaiahHat | Oscar Onley | 14.3 | 0 | 14.3 |
| listenyall | Oscar Onley | 14.3 | 0 | 14.3 |
| RaylanGivens8 | Oscar Onley | 14.3 | 0 | 14.3 |
| Zeckesan | Oscar Onley | 14.3 | 0 | 14.3 |
| BWallis17 | Lukas Nerurkar | 6 | 6 | 12 |
| andytheciderman | Jay Vine | 9.6 | 0 | 9.6 |
| Big_Mike_S | Jay Vine | 9.6 | 0 | 9.6 |
| iamczecksy | Jay Vine | 9.6 | 0 | 9.6 |
| Ok_Chipmunk_3854 | Jay Vine | 9.6 | 0 | 9.6 |
| sharkbait_hahaha | Jay Vine | 9.6 | 0 | 9.6 |
| derwipok | Pablo Torres | 9 | 0 | 9 |
| Short_Bus_ | Pablo Torres | 9 | 0 | 9 |
| Avila99 | Sergio Higuita | 8 | 0 | 8 |
| Team_Telekom | Sergio Higuita | 8 | 0 | 8 |
| Verlichtingszucht | Aaron Gate | 0 | 0 | 0 |
| Kryziven | Alberto Bettiol | 0 | 0 | 0 |
| D4RK_3LF | Andrea Vendrame | 0 | 0 | 0 |
| Divergee5 | Bryan Coquard | 0 | 0 | 0 |
| AwakenTheBacon_ | Damien Howson | 0 | 0 | 0 |
| ssfoxx27 | Damien Howson | 0 | 0 | 0 |
| YourBeneluxOverlords | Dylan van Baarle | 0 | 0 | 0 |
| SnooCakes4006 | Francesco Busatto | 0 | 0 | 0 |
| burden321 | Junior Lecerf William | 0 | 0 | 0 |
| MrR2D | Junior Lecerf William | 0 | 0 | 0 |
| wonderbeann | Junior Lecerf William | 0 | 0 | 0 |
| CadenceChallenged | Mauro Schmid | 0 | 0 | 0 |
| LJSchoppert | Mauro Schmid | 0 | 0 | 0 |
| DorHarris | Michal Kwiatkowski | 0 | 0 | 0 |
| CudoLanda | Paul Lapeira | 0 | 0 | 0 |
| Eyeconoclastic | Paul Lapeira | 0 | 0 | 0 |
| Judas_Bishop | Robert Stannard | 0 | 0 | 0 |
| fewfiet | Stephen Williams | 0 | 0 | 0 |
| K2daL | Stephen Williams | 0 | 0 | 0 |
| narlano | Stephen Williams | 0 | 0 | 0 |
The Top 30 finishers were:
| Rank | Rider | Picks | Base | Bonus |
|---|---|---|---|---|
| 1 | Jhonatan Narvaez | 3 | 200 | 0 |
| 2 | Javier Romo | 2 | 160 | 0 |
| 3 | Finn Fisher-Black | 3 | 120 | 0 |
| 4 | Oscar Onley | 7 | 100 | 0 |
| 5 | Bastien Tronchon | 1 | 90 | 52 |
| 6 | Lucas Plapp | 2 | 80 | 0 |
| 7 | Magnus Sheffield | 4 | 72 | 0 |
| 8 | Thomas Gloag | 1 | 64 | 46 |
| 9 | Patrick Konrad | 0 | 58 | 0 |
| 10 | Michael Woods | 0 | 52 | 0 |
| 11 | Jay Vine | 5 | 48 | 0 |
| 12 | Rémy Rochas | 1 | 44 | 38 |
| 13 | Bauke Mollema | 0 | 40 | 0 |
| 14 | Chris Harper | 0 | 36 | 0 |
| 15 | Afonso Eulalio | 0 | 32 | 0 |
| 16 | Rudy Porter | 0 | 30 | 0 |
| 17 | Albert Withen Philipsen | 0 | 28 | 0 |
| 18 | Georg Zimmermann | 0 | 26 | 0 |
| 19 | Zac Marriage | 0 | 24 | 0 |
| 20 | Junior Lecerf | 0 | 22 | 0 |
| 21 | Corbin Strong | 1 | 20 | 20 |
| 22 | Pablo Torres | 2 | 18 | 0 |
| 23 | Sergio Higuita | 2 | 16 | 0 |
| 24 | Andrea Bagioli | 1 | 14 | 14 |
| 25 | Ion Izagirre | 1 | 12 | 12 |
| 26 | Esteban Chaves | 0 | 10 | 0 |
| 27 | Gal Glivar | 0 | 8 | 0 |
| 28 | Lukas Nerurkar | 1 | 6 | 6 |
| 29 | Cristian Rodriguez | 0 | 4 | 0 |
| 30 | George Bennett | 0 | 2 | 0 |
A total of 35 players entered:
| User | Pick | Base | Bonus | Score |
|---|---|---|---|---|
| isaiahHat | Phil Bauhaus | 44 | 23 | 67 |
| LurkasM1 | Jordi Meeus | 60 | 0 | 60 |
| Sappert | Jordi Meeus | 60 | 0 | 60 |
| Norskov | Søjberg Pedersen Rasmus | 30 | 19 | 49 |
| OkChipmunk3854 | Emilien Jeannière | 37.5 | 0 | 37.5 |
| paulindy2000 | Emilien Jeannière | 37.5 | 0 | 37.5 |
| Judas_Bishop | Søren Wærenskjold | 18 | 0 | 18 |
| alpal2214 | Søren Wærenskjold | 18 | 0 | 18 |
| Avila99 | Dylan Groenewegen | 16 | 0 | 16 |
| Lyx97 | Dylan Groenewegen | 16 | 0 | 16 |
| BSantos57 | Dylan Groenewegen | 16 | 0 | 16 |
| MrR2D | Simon Dehairs | 0 | 0 | 0 |
| Funny-Substance5576 | Erlend Blikra | 0 | 0 | 0 |
| beaker15 | Olav Kooij | 0 | 0 | 0 |
| Redskin44 | Jon Aberasturi | 0 | 0 | 0 |
| ser-seaworth | Simon Dehairs | 0 | 0 | 0 |
| iamczecksy | Mads Pedersen | 0 | 0 | 0 |
| BWallis17 | Matteo Moschetti | 0 | 0 | 0 |
| CudoLanda | Simon Dehairs | 0 | 0 | 0 |
| Kryziven | Olav Kooij | 0 | 0 | 0 |
| ssfoxx27 | Matteo Moschetti | 0 | 0 | 0 |
| Eyeconoclastic | Elia Viviani | 0 | 0 | 0 |
| RaylanGivens8 | Simon Dehairs | 0 | 0 | 0 |
| edlll91 | Mads Pedersen | 0 | 0 | 0 |
| listenyall | Mads Pedersen | 0 | 0 | 0 |
| Verlichtingszucht | Maikel Zijlaard | 0 | 0 | 0 |
| Divergee5 | Olav Kooij | 0 | 0 | 0 |
| LJSchoppert | Matteo Moschetti | 0 | 0 | 0 |
| LynniePinnie67 | Davide Bomboi | 0 | 0 | 0 |
| Realistic_Heaven | Simon Dehairs | 0 | 0 | 0 |
| DerpTrain | Matteo Moschetti | 0 | 0 | 0 |
| IPJBrennan | Olav Kooij | 0 | 0 | 0 |
| Team_Telekom | Simon Dehairs | 0 | 0 | 0 |
| wonderbeann | Tobias Lund Andresen | 0 | 0 | 0 |
| Nussig | Olav Kooij | 0 | 0 | 0 |
The Top 30 finishers were:
| Rank | Rider | Picks | Base | Bonus |
|---|---|---|---|---|
| 1 | Jordi Meeus | 2 | 120 | 0 |
| 2 | Alexis Renard | 0 | 0 | 0 |
| 3 | Emilien Jeannière | 2 | 75 | 0 |
| 4 | Arnaud Démare | 0 | 0 | 0 |
| 5 | Tobias Andresen Lund | 0 | 0 | 0 |
| 6 | Hugo Page | 0 | 0 | 0 |
| 7 | Dylan Groenewegen | 3 | 48 | 0 |
| 8 | Phil Bauhaus | 1 | 44 | 23 |
| 9 | Stanislaw Aniolkowski | 0 | 0 | 0 |
| 10 | Søren Wærenskjold | 2 | 36 | 0 |
| 11 | Laurenz Rex | 0 | 0 | 0 |
| 12 | Søjberg Pedersen Rasmus | 1 | 30 | 19 |
| 13 | Manuel Peñalver | 0 | 0 | 0 |
| 14 | Riley Pickrell | 0 | 0 | 0 |
| 15 | Tibor Grosso Del | 0 | 0 | 0 |
| 16 | Giovanni Lonardi | 0 | 0 | 0 |
| 17 | Milan Menten | 0 | 0 | 0 |
| 18 | Nicolò Parisini | 0 | 0 | 0 |
| 19 | Luca Mozzato | 0 | 0 | 0 |
| 20 | Emils Liepins | 0 | 0 | 0 |
| 21 | Martijn Budding | 0 | 0 | 0 |
| 22 | Paul Hennequin | 0 | 0 | 0 |
| 23 | Sebastian Nielsen | 0 | 0 | 0 |
| 24 | Daniel McLay | 0 | 0 | 0 |
| 25 | Dusan Rajovic | 0 | 0 | 0 |
| 26 | Xabier Berasategi | 0 | 0 | 0 |
| 27 | Jensen Plowright | 0 | 0 | 0 |
| 28 | Alex Molenaar | 0 | 0 | 0 |
| 29 | Mirco Maestri | 0 | 0 | 0 |
| 30 | Antonio Angulo | 0 | 0 | 0 |
A total of ## players entered:
| User | Pick | Base | Bonus | Score |
|---|---|---|---|---|
| ― | ― | ― | ― | ― |